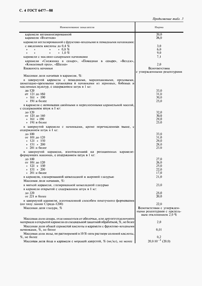
ГОСТ 6477-88 Карамель. Общие технические условия
ГОСТ
Скачать ГОСТ в PDF или DOC бесплатно
Основная информация
Обозначение:
ГОСТ 6477-88
Статус:
Заменен
Тип:
ГОСТ
Название русское:
Карамель. Общие технические условия
Название английское:
Caramel. General specifications
Даты и сроки
Дата издания:
01-01-04
Дата введения в действие:
06-30-89
Дата завершения срока действия:
07-01-20
Применение и описание
Область и условия применения:
Настоящий стандарт распространяется на карамель, изготовляемую для нужд народного хозяйства и для экспорта
Связи и замены
Заменяющий:
ГОСТ 6477-2019
Взамен:
ГОСТ 6477-69;ГОСТ 13936-68
Изменения и переиздания
Список изменений:
№1 от (рег. ) «Срок действия продлен»
Описание стандарта
ГОСТ 6477-88 Карамель. Общие технические условия
Страницы стандарта










