ГОСТ Р 50546-93 Сироп из глюкозы. Определение содержания сухого вещества с использованием показателя преломления. Рефрактометрический метод
ГОСТ Р
Скачать ГОСТ в PDF или DOC бесплатно
Основная информация
Обозначение:
ГОСТ Р 50546-93
Статус:
Действует
Тип:
ГОСТ Р
Название русское:
Сироп из глюкозы. Определение содержания сухого вещества с использованием показателя преломления. Рефрактометрический метод
Название английское:
Glucose syrup. Determination of dry matter content. Refractive index method
Даты и сроки
Дата издания:
11-01-05
Дата введения в действие:
01-01-94
Дата завершения срока действия:
-
Применение и описание
Область и условия применения:
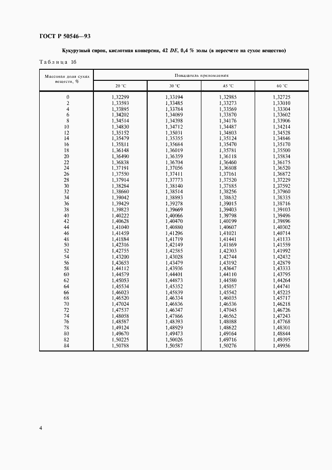
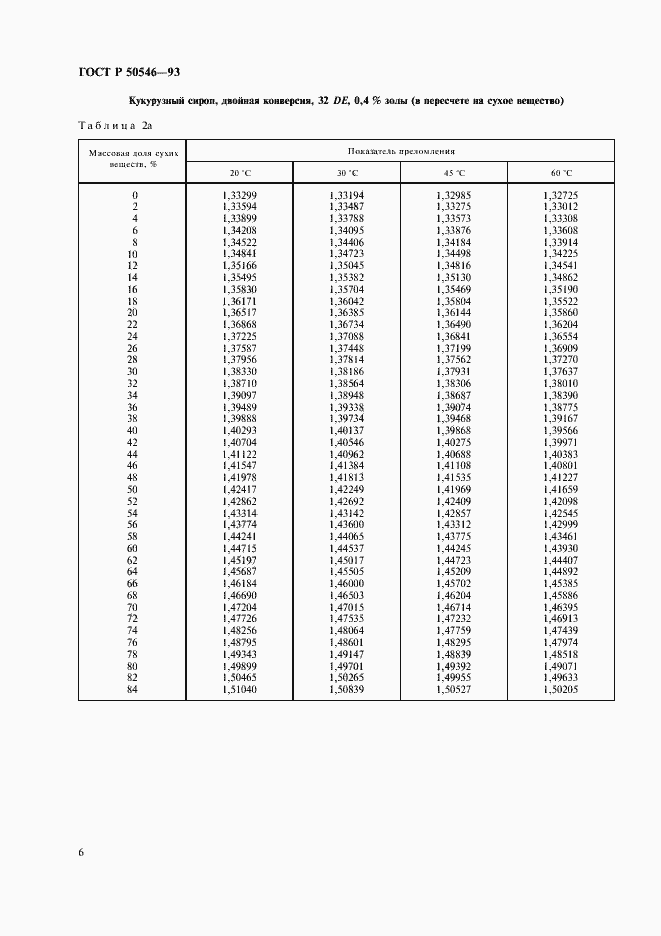
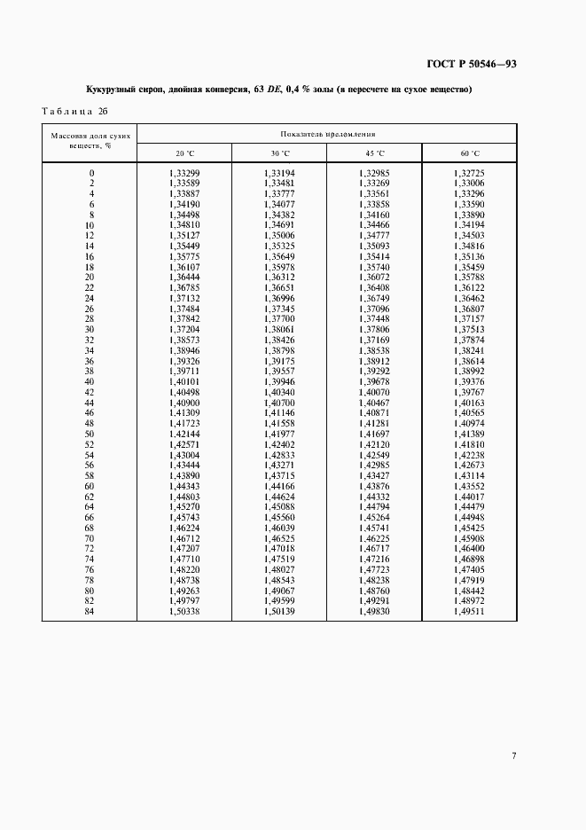
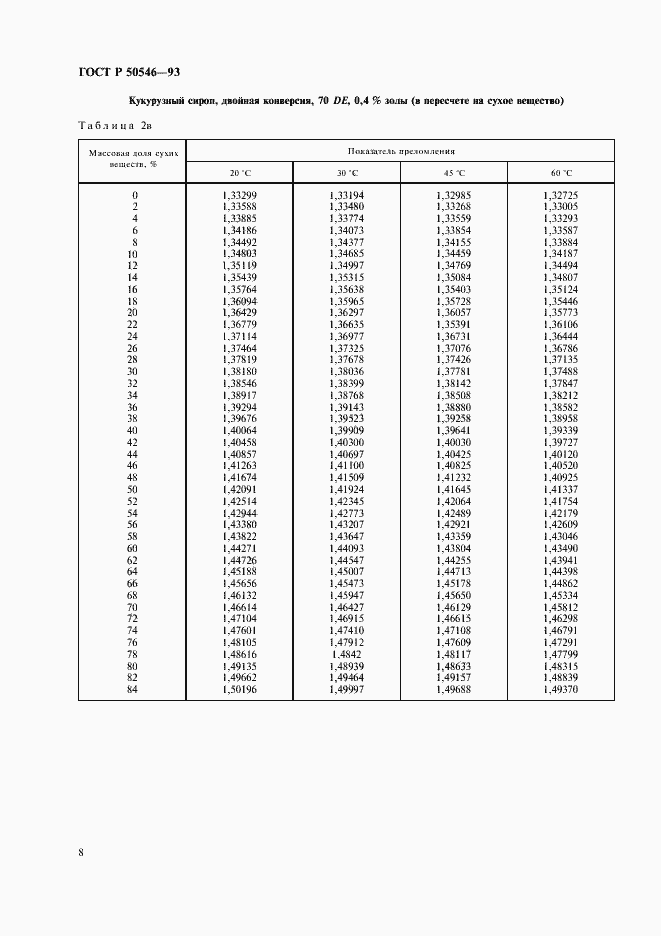
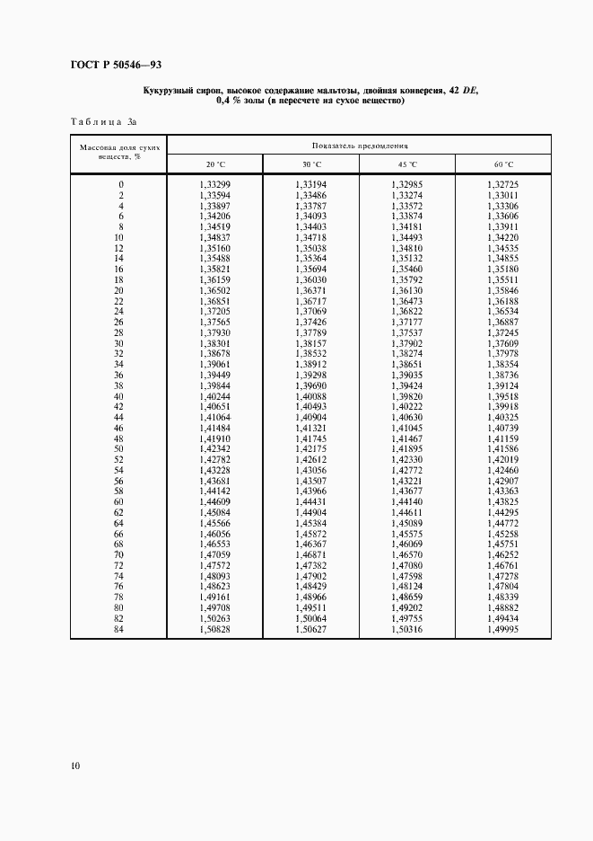
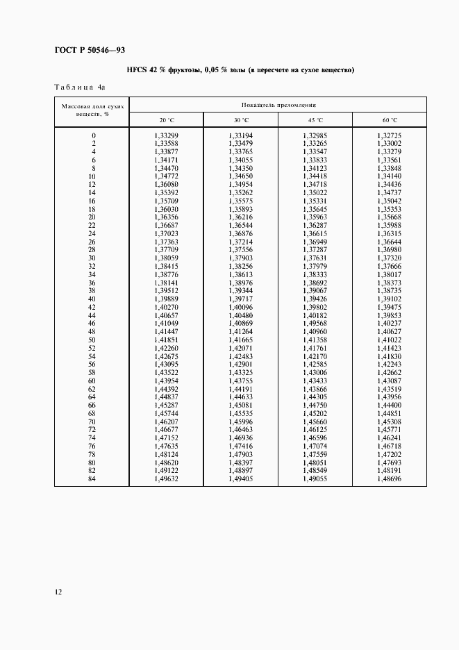
Настоящий стандарт устанавливает метод определения содержания сухого вещества в сиропах из глюкозы на основе их показателя преломления. Этот метод применяется и для сиропа из глюкозы, содержащего фруктозу
Связи и замены
Заменяющий:
-
Описание стандарта
ГОСТ Р 50546-93 Сироп из глюкозы. Определение содержания сухого вещества с использованием показателя преломления. Рефрактометрический метод
Страницы стандарта



















