ГОСТ Р ИСО 3951-2-2009 Статистические методы. Процедуры выборочного контроля по количественному признаку. Часть 2. Общие требования к одноступенчатым планам на основе AQL при контроле последовательных партий по независимым характеристикам качества
ГОСТ Р ИСО
Скачать ГОСТ в PDF или DOC бесплатно
Основная информация
Обозначение:
ГОСТ Р ИСО 3951-2-2009
Статус:
Заменен
Тип:
ГОСТ Р ИСО
Название русское:
Статистические методы. Процедуры выборочного контроля по количественному признаку. Часть 2. Общие требования к одноступенчатым планам на основе AQL при контроле последовательных партий по независимым характеристикам качества
Название английское:
Statistical methods. Sampling procedures for inspection by variables Part 2. General specification for single sampling plans indexed by AQL for lot-by-lot inspection of independent quality characteristics
Даты и сроки
Дата издания:
04-20-11
Дата введения в действие:
12-01-10
Дата завершения срока действия:
12-01-16
Применение и описание
Область и условия применения:
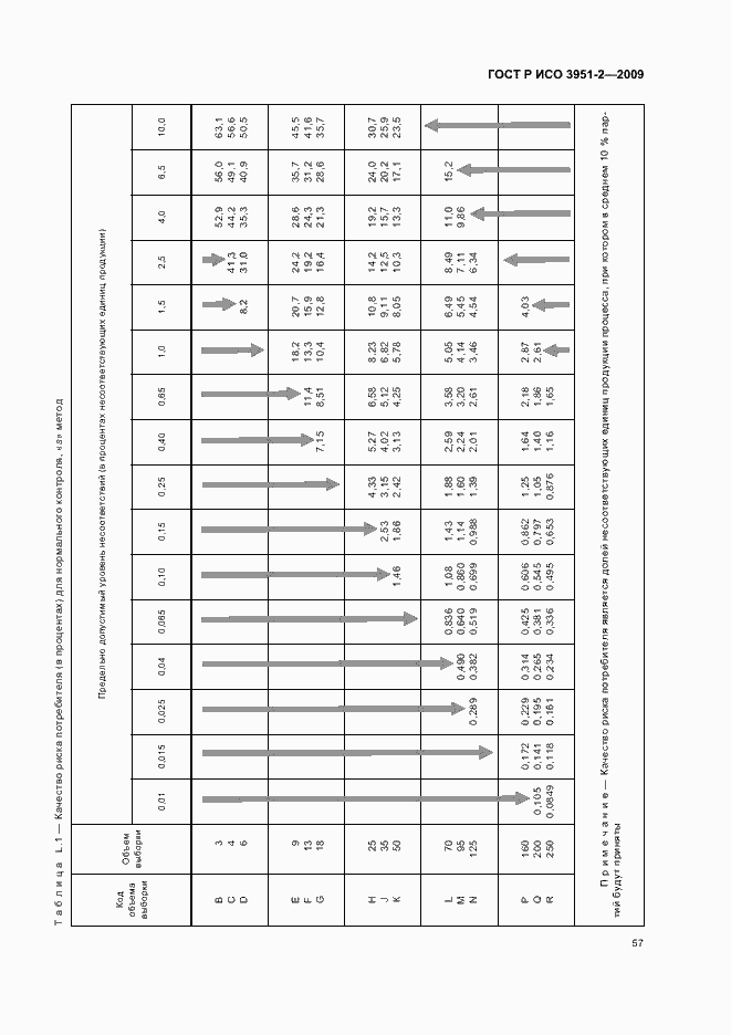
Настоящий стандарт устанавливает систему одноступенчатых планов статистического приемочного контроля по количественному признаку на основе предельно допустимого уровня несоответствий (AQL)
Связи и замены
Заменяющий:
ГОСТ Р ИСО 3951-2-2015
Описание стандарта
ГОСТ Р ИСО 3951-2-2009 Статистические методы. Процедуры выборочного контроля по количественному признаку. Часть 2. Общие требования к одноступенчатым планам на основе AQL при контроле последовательных партий по независимым характеристикам качества
Страницы стандарта














































































