ГОСТ Р ИСО 3951-3-2009 Статистические методы. Процедуры выборочного контроля по количественному признаку. Часть 3. Двухступенчатые схемы на основе AQL для контроля последовательных партий
ГОСТ Р ИСО
Скачать ГОСТ в PDF или DOC бесплатно
Основная информация
Обозначение:
ГОСТ Р ИСО 3951-3-2009
Статус:
Действует
Тип:
ГОСТ Р ИСО
Название русское:
Статистические методы. Процедуры выборочного контроля по количественному признаку. Часть 3. Двухступенчатые схемы на основе AQL для контроля последовательных партий
Название английское:
Statistical methods. Sampling procedures for inspection by variables. Part 3. Double sampling schemes indexed by AQL for lot-by-lot inspection
Даты и сроки
Дата издания:
04-16-20
Дата введения в действие:
12-01-10
Дата завершения срока действия:
-
Применение и описание
Область и условия применения:
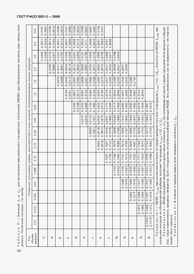
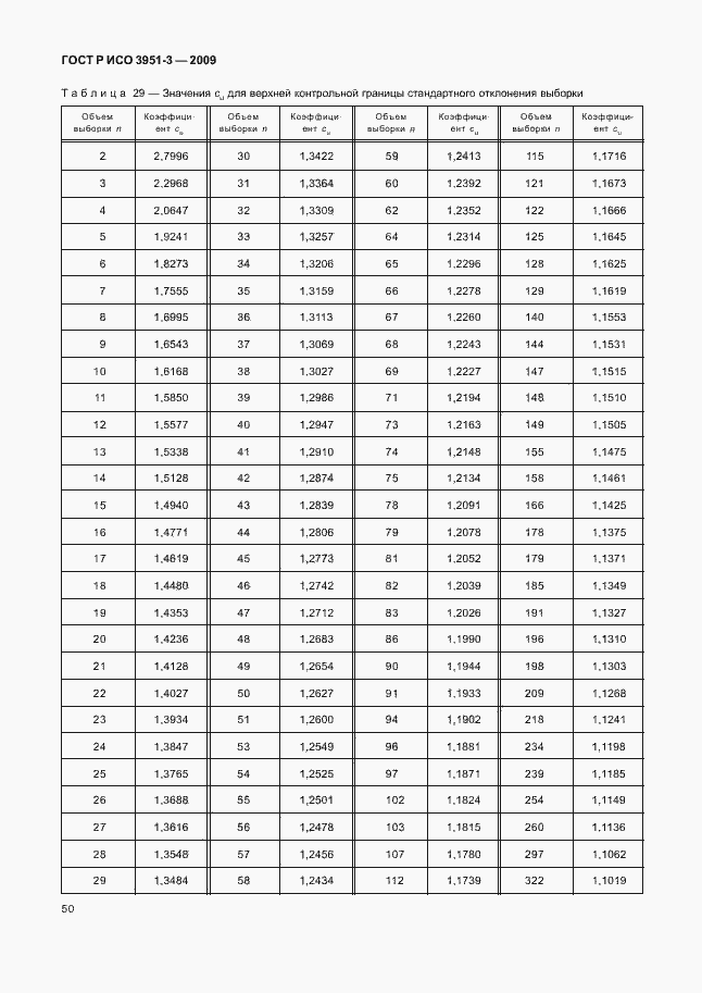
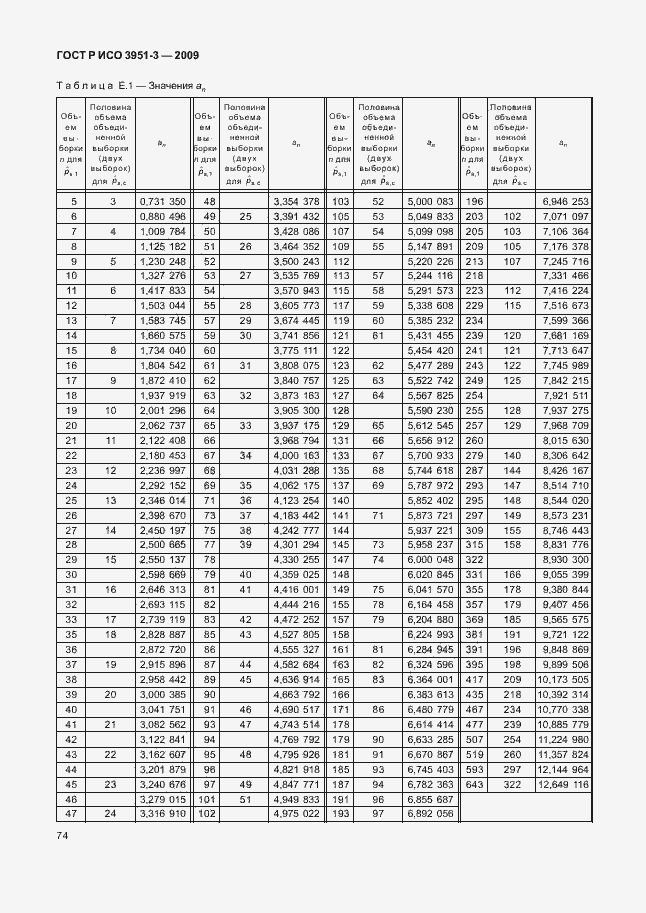
Настоящий стандарт устанавливает систему двухступенчатых схем статистического приемочного контроля по количественному признаку для процента несоответствующих единиц продукции в партии. Схемы и планы контроля индексированы на основе предельно допустимого уровня несоответствий (AQL). Методы настоящего стандарта обеспечивают высокую вероятность приемки партий приемлемого качества и высокую вероятность отклонения партий низкого качества
Связи и замены
Заменяющий:
-
Описание стандарта
ГОСТ Р ИСО 3951-3-2009 Статистические методы. Процедуры выборочного контроля по количественному признаку. Часть 3. Двухступенчатые схемы на основе AQL для контроля последовательных партий
Страницы стандарта













































































































