ГОСТ Р 50779.26-2007 Статистические методы. Точечные оценки, доверительные, предикционные и толерантные интервалы для экспоненциального распределения
ГОСТ Р
Скачать ГОСТ в PDF или DOC бесплатно
Основная информация
Обозначение:
ГОСТ Р 50779.26-2007
Статус:
Действует
Тип:
ГОСТ Р
Название русское:
Статистические методы. Точечные оценки, доверительные, предикционные и толерантные интервалы для экспоненциального распределения
Название английское:
Statistical methods. Point estimates, confidence intervals, prediction intervals and tolerance intervals for exponential distribution
Даты и сроки
Дата издания:
09-15-08
Дата введения в действие:
06-01-08
Дата завершения срока действия:
-
Применение и описание
Область и условия применения:
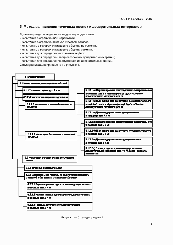
Настоящий стандарт устанавливает статистические методы определения точечных оценок, доверительных, предикционных и толерантных интервалов для интенсивности отказов объектов, наработки которых на отказ подчиняются экспоненциальному распределению. Использование методов настоящего стандарта должно сопровождаться проверкой предположений о постоянстве интенсивности отказов или параметра потока отказов. Настоящий стандарт применим также в случаях, когда объекты случайной выборки подвергают испытаниям с регистрацией наработок до отказа для оценки показателя надежности
Связи и замены
Заменяющий:
-
Описание стандарта
ГОСТ Р 50779.26-2007 Статистические методы. Точечные оценки, доверительные, предикционные и толерантные интервалы для экспоненциального распределения
Страницы стандарта






























