ГОСТ Р ИСО 2859-3-2009 Статистические методы. Процедуры выборочного контроля по альтернативному признаку. Часть 3. Контроль с пропуском партий
ГОСТ Р ИСО
Скачать ГОСТ в PDF или DOC бесплатно
Основная информация
Обозначение:
ГОСТ Р ИСО 2859-3-2009
Статус:
Действует
Тип:
ГОСТ Р ИСО
Название русское:
Статистические методы. Процедуры выборочного контроля по альтернативному признаку. Часть 3. Контроль с пропуском партий
Название английское:
Statistical methods. Sampling procedures for inspection by attributes. Part 3. Skip-lot sampling procedures
Даты и сроки
Дата издания:
05-20-20
Дата введения в действие:
12-01-10
Дата завершения срока действия:
-
Применение и описание
Область и условия применения:
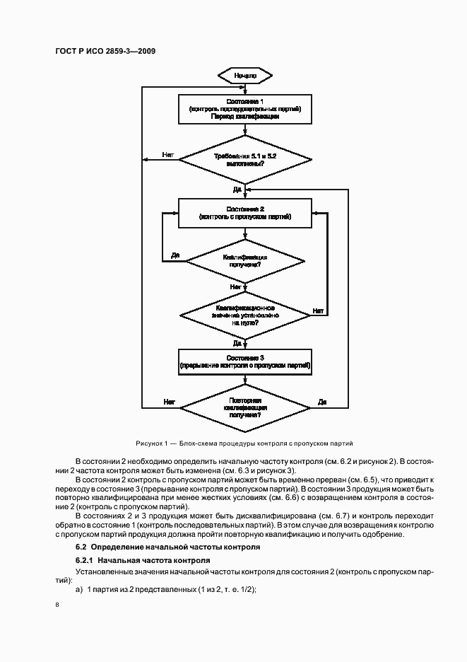
Настоящий стандарт устанавливает процедуры выборочного контроля с пропуском партий для приемочного контроля по альтернативному признаку. Эти процедуры позволяют сократить затраты на проведение контроля продукции высокого качества представленной поставщиком, у которого имеется эффективная система обеспечения и контроля качества продукции. Сокращение времени и затрат на проведение контроля продукции достигают путем определения с заданной вероятностью возможности приемки представленной партии без контроля. Данная процедура распространяет принцип случайного отбора единиц продукции в выборку, примененный в ИСО 2859-1, на случайный отбор партий
Связи и замены
Заменяющий:
-
Взамен:
ГОСТ Р 50779.73-99
Описание стандарта
ГОСТ Р ИСО 2859-3-2009 Статистические методы. Процедуры выборочного контроля по альтернативному признаку. Часть 3. Контроль с пропуском партий
Страницы стандарта



























