ГОСТ Р ИСО 2859-5-2009 Статистические методы. Процедуры выборочного контроля по альтернативному признаку. Часть 5. Система последовательных планов на основе AQL для контроля последовательных партий
ГОСТ Р ИСО
Скачать ГОСТ в PDF или DOC бесплатно
Основная информация
Обозначение:
ГОСТ Р ИСО 2859-5-2009
Статус:
Действует
Тип:
ГОСТ Р ИСО
Название русское:
Статистические методы. Процедуры выборочного контроля по альтернативному признаку. Часть 5. Система последовательных планов на основе AQL для контроля последовательных партий
Название английское:
Statistical methods. Sampling procedures for inspection by attributes. Part 5. System of sequential sampling plans indexed by AQL for lot-by-lot inspection
Даты и сроки
Дата издания:
04-03-20
Дата введения в действие:
12-01-10
Дата завершения срока действия:
-
Применение и описание
Область и условия применения:
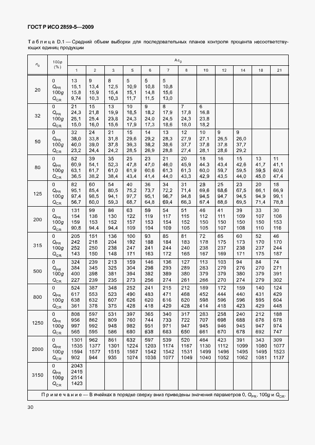
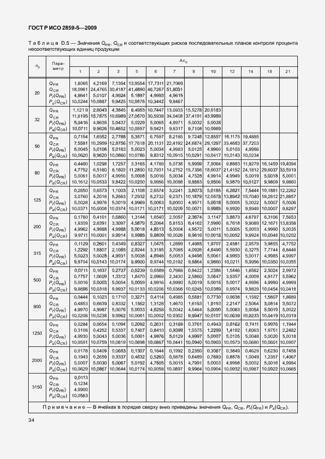
Настоящий стандарт устанавливает последовательные схемы выборочного контроля, которые дополняют систему статистического приемочного контроля по альтернативному признаку регламентированную ИСО 2859-1. Система статистического приемочного контроля ИСО 2859-1 основана на пределе приемлемого качества (AQL). Целью этой системы является побуждение поставщика путем экономической угрозы риска отклонения партии поддерживать среднее процесса на уровне, не выше предельно допустимого уровня несоответствий, одновременно обеспечивая выбранную верхнюю границу риска потребителя (вероятности приемки партии с низким качеством)
Связи и замены
Заменяющий:
-
Описание стандарта
ГОСТ Р ИСО 2859-5-2009 Статистические методы. Процедуры выборочного контроля по альтернативному признаку. Часть 5. Система последовательных планов на основе AQL для контроля последовательных партий
Страницы стандарта










































