ГОСТ Р ИСО 3951-1-2007 Статистические методы. Процедуры выборочного контроля по количественному признаку. Часть 1. Требования к одноступенчатым планам на основе предела приемлемого качества для контроля последовательных партий по единственной характеристике и единственному AQL
ГОСТ Р ИСО
Скачать ГОСТ в PDF или DOC бесплатно
Основная информация
Обозначение:
ГОСТ Р ИСО 3951-1-2007
Статус:
Заменен
Тип:
ГОСТ Р ИСО
Название русское:
Статистические методы. Процедуры выборочного контроля по количественному признаку. Часть 1. Требования к одноступенчатым планам на основе предела приемлемого качества для контроля последовательных партий по единственной характеристике и единственному AQL
Название английское:
Statistical methods. Sampling procedures for inspection by variables. Part 1. Specification for single sampling plans indexed by acceptance quality limit for lot-by-lot inspection for a single quality characteristic and a single AQL
Даты и сроки
Дата издания:
12-17-08
Дата введения в действие:
09-01-08
Дата завершения срока действия:
12-01-16
Применение и описание
Область и условия применения:
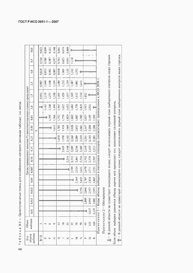
Настоящий стандарт устанавливает систему одноступенчатых планов статистического приемочного контроля по количественному признаку, согласно которым решение о соответствии партии установленным требованиям принимают на основе оценки процента несоответствующих единиц продукции процесса по случайной выборке из партии
Связи и замены
Заменяющий:
ГОСТ Р ИСО 3951-1-2015
Взамен:
ГОСТ Р 50779.74-99
Описание стандарта
ГОСТ Р ИСО 3951-1-2007 Статистические методы. Процедуры выборочного контроля по количественному признаку. Часть 1. Требования к одноступенчатым планам на основе предела приемлемого качества для контроля последовательных партий по единственной характеристике и единственному AQL
Страницы стандарта

































































































