ГОСТ 34900-2022 Жиры и масла животные и растительные. Определение содержания 2-монохлорпропандиола и эфиров жирных кислот 2-монохлорпропандиола, 3-монохлорпропандиола и эфиров жирных кислот 3-монохлорпропандиола и глицидиловых эфиров жирных кислот с применением ферментативного гидролиза
ГОСТ
Скачать ГОСТ в PDF или DOC бесплатно
Основная информация
Обозначение:
ГОСТ 34900-2022
Статус:
Действует
Тип:
ГОСТ
Название русское:
Жиры и масла животные и растительные. Определение содержания 2-монохлорпропандиола и эфиров жирных кислот 2-монохлорпропандиола, 3-монохлорпропандиола и эфиров жирных кислот 3-монохлорпропандиола и глицидиловых эфиров жирных кислот с применением ферментативного гидролиза
Название английское:
Animal and vegetable fats and oils. 2-monochloropropanediol and 2-monochloropropanediol fatty acid esters, 3-monochloropropanediol and 3-monochloropropanediol fatty acid esters and fatty acids glycidyl esters content determination via enzymatic hydrolysis
Даты и сроки
Дата регистрации:
09-30-22
Дата издания:
11-16-22
Дата введения в действие:
12-01-22
Применение и описание
Область и условия применения:
Настоящий стандарт устанавливает метод определения содержания 2-хлор-1,3-пропандиола (2-МХПД) и эфиров жирных кислот 2-МХПД, в пересчете на 2-МХПД, 3-хлор-1,2-пропандиола (3-МХПД) и эфиров жирных кислот 3-МХПД, в пересчете на 3-МХПД и глицидиловых эфиров (ГЭ) жирных кислот, в пересчете на глицидол в животных и растительных жирах и маслах, а также в жирах специального назначения, в том числе кулинарных, кондитерских, хлебопекарных жирах, заменителях молочного жира, эквивалентах, улучшителях и заменителях масла какао
Описание стандарта
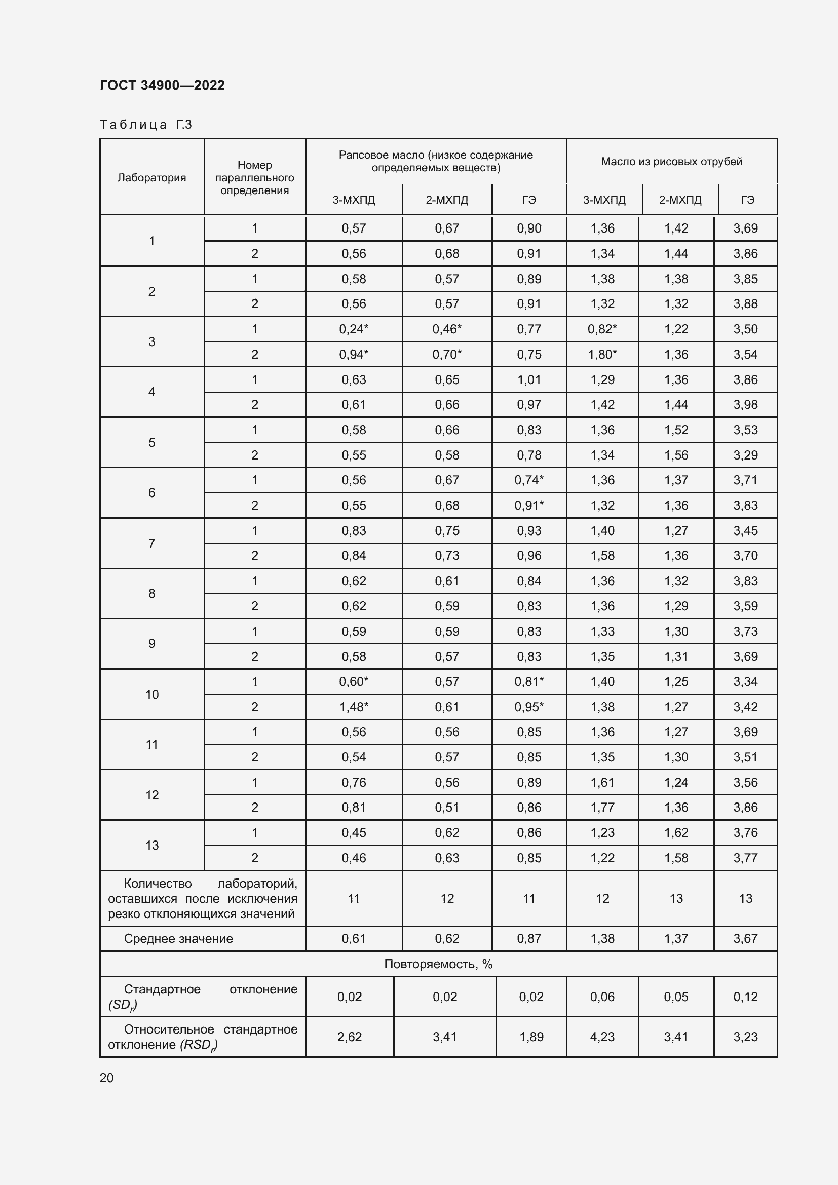
ГОСТ 34900-2022 Жиры и масла животные и растительные. Определение содержания 2-монохлорпропандиола и эфиров жирных кислот 2-монохлорпропандиола, 3-монохлорпропандиола и эфиров жирных кислот 3-монохлорпропандиола и глицидиловых эфиров жирных кислот с применением ферментативного гидролиза
Страницы стандарта






























Приложение №1: Поправка к ГОСТ 34900-2022 Обозначение: Поправка к ГОСТ 34900-2022 Дата введения в действие: 01.09.2023

Приложение №2: Поправка к ГОСТ 34900-2022 Обозначение: Поправка к ГОСТ 34900-2022 Дата введения в действие: 17.07.2024
