ГОСТ Р МЭК 61124-2016 Статистические методы. Планирование и обработка результатов контрольных испытаний в случае постоянных интенсивности отказов и параметра потока отказов
ГОСТ Р МЭК
Скачать ГОСТ в PDF или DOC бесплатно
Основная информация
Обозначение:
ГОСТ Р МЭК 61124-2016
Статус:
Действует
Тип:
ГОСТ Р МЭК
Название русское:
Статистические методы. Планирование и обработка результатов контрольных испытаний в случае постоянных интенсивности отказов и параметра потока отказов
Название английское:
Statistical methods. Planning and processing of results of control tests in case of constant failure rate and constant failure intensity
Даты и сроки
Дата издания:
07-19-20
Дата введения в действие:
12-01-17
Дата завершения срока действия:
-
Применение и описание
Область и условия применения:
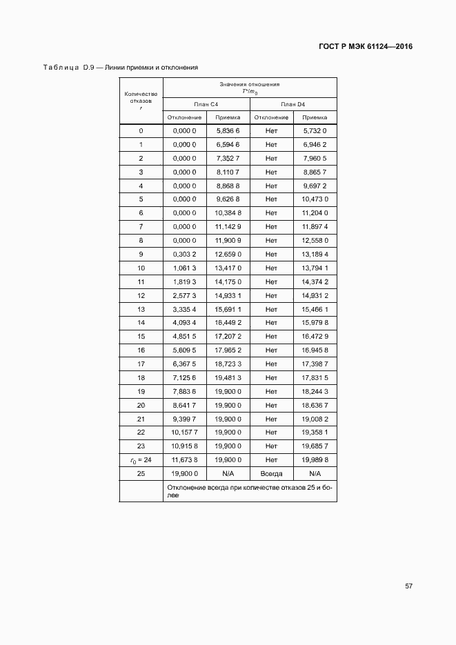
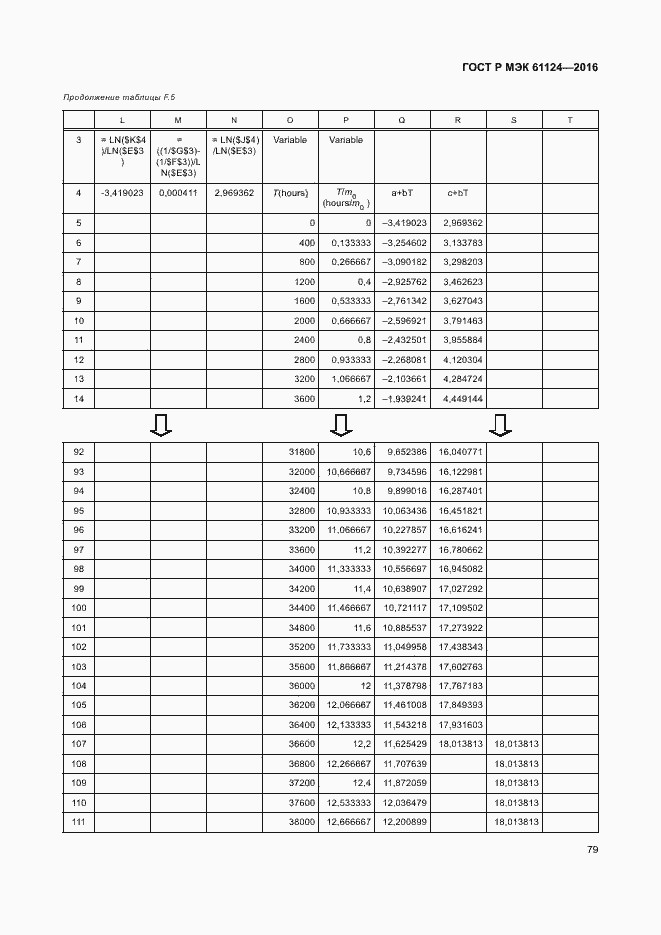
В настоящем стандарте установлены оптимизированные планы испытаний, соответствующие кривые оперативных характеристик и объем испытаний. В приложении представлено руководство по использованию электронных таблиц на разных этапах испытаний, а также процедура выбора плана испытаний
Связи и замены
Заменяющий:
-
Описание стандарта
ГОСТ Р МЭК 61124-2016 Статистические методы. Планирование и обработка результатов контрольных испытаний в случае постоянных интенсивности отказов и параметра потока отказов
Страницы стандарта











































































































