ГОСТ 25336-82 Посуда и оборудование лабораторные стеклянные. Типы, основные параметры и размеры
ГОСТ
Скачать ГОСТ в PDF или DOC бесплатно
Основная информация
Обозначение:
ГОСТ 25336-82
Статус:
Действует
Тип:
ГОСТ
Название русское:
Посуда и оборудование лабораторные стеклянные. Типы, основные параметры и размеры
Название английское:
Laboratory glassware and equipment. Basic parameters and dimensions
Даты и сроки
Дата издания:
03-01-09
Дата введения в действие:
01-01-84
Дата завершения срока действия:
-
Применение и описание
Область и условия применения:
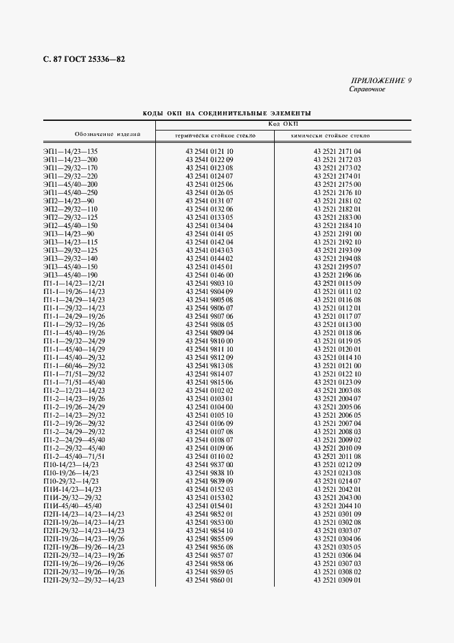
Настоящий стандарт распространяется на стеклянную лабораторную посуду и оборудование, изготовляемые для потребностей экономики страны и экспорта. Изделия подразделяются на посуду: стаканы, стаканчики для взвешивания, колбы, колбы Фаворского, колбы с тубусом, пробирки, чашки, сосуды и оборудование: соединительные элементы и трубки, воронки, фильтры, капельницы, спиртовки, склянки с тубусом, насос водоструйный, эксикаторы, насадки, холодильники, дефлегматоры, каплеуловители, склянки для промывания газов, приборы для поглощения газов и паров воды, аппараты для получения газа
Связи и замены
Заменяющий:
-
Взамен в части:
ГОСТ 10090-74 в части типов, основных параметров и размеров; ГОСТ 10238-74 в части типов, основных параметров и размеров; ГОСТ 10359-75 в части типов, основных параметров и размеров; ГОСТ 10378-73 в части типов, основных параметров и размеров; ГОСТ 10394-72 в части типов, основных параметров и размеров; ГОСТ 10515-75 в части типов, основных параметров и размеров; ГОСТ 10565-75 в части типов, основных параметров и размеров; ГОСТ 10696-75 в части типов, основных параметров и размеров; ГОСТ 10973-75 в части типов, основных параметров и размеров; ГОСТ 11582-75 в части типов, основных параметров и размеров; ГОСТ 17004-71 в части типов, основных параметров и размеров; ГОСТ 17784-72 в части типов, основных параметров и размеров; ГОСТ 20789-75 в части типов, основных параметров и размеров; ГОСТ 6371-73 в части типов, основных параметров и размеров; ГОСТ 6514-75 в части типов, основных параметров и размеров; ГОСТ 7148-70 в части типов, основных параметров и размеров; ГОСТ 7851-74 в части типов, основных параметров и размеров; ГОСТ 8058-73 в части типов, основных параметров и размеров; ГОСТ 8613-75 в части типов, основных параметров и размеров; ГОСТ 9425-71 в части типов, основных параметров и размеров; ГОСТ 9499-70 в части типов, основных параметров и размеров; ГОСТ 9775-69 в части типов, основных параметров и размеров; ГОСТ 9777-74 в части типов, основных параметров и размеров; ГОСТ 9876-73 в части типов, основных параметров и размеров; ГОСТ 9964-71 в части типов, основных параметров и размеров
Изменения и переиздания
Список изменений:
№1 от (рег. ) «Срок действия продлен» №2 от (рег. ) «Срок действия продлен» №3 от (рег. ) «Срок действия продлен» №4 от (рег. ) «Срок действия продлен»
Описание стандарта
ГОСТ 25336-82 Посуда и оборудование лабораторные стеклянные. Типы, основные параметры и размеры
Страницы стандарта






































































































