ГОСТ Р 50779.27-2017 Статистические методы. Распределение Вейбулла. Анализ данных
ГОСТ Р
Скачать ГОСТ в PDF или DOC бесплатно
Основная информация
Обозначение:
ГОСТ Р 50779.27-2017
Статус:
Действует
Тип:
ГОСТ Р
Название русское:
Статистические методы. Распределение Вейбулла. Анализ данных
Название английское:
Statistical methods. Weibull distribution. Data analysis
Даты и сроки
Дата издания:
12-28-20
Дата введения в действие:
12-01-18
Дата завершения срока действия:
-
Применение и описание
Область и условия применения:
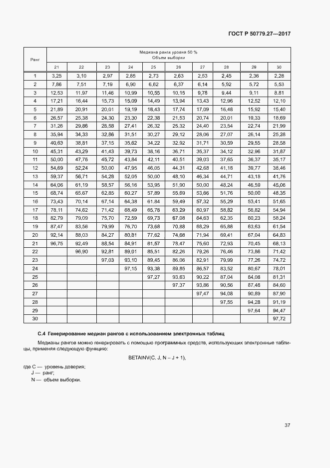
В настоящем стандарте установлены методы анализа данных из распределения Вейбулла, предназначенных для непрерывных показателей, таких как наработка до отказа (время до отказа, количество циклов до отказа, механическое напряжение и т.п.)
Связи и замены
Заменяющий:
-
Взамен:
ГОСТ Р 50779.27-2007
Описание стандарта
ГОСТ Р 50779.27-2017 Статистические методы. Распределение Вейбулла. Анализ данных
Страницы стандарта





























































