ГОСТ Р 50779.29-2017 Статистические методы. Статистическое представление данных. Часть 6. Определение статистических толерантных интервалов
ГОСТ Р
Скачать ГОСТ в PDF или DOC бесплатно
Основная информация
Обозначение:
ГОСТ Р 50779.29-2017
Статус:
Действует
Тип:
ГОСТ Р
Название русское:
Статистические методы. Статистическое представление данных. Часть 6. Определение статистических толерантных интервалов
Название английское:
Statistical methods. Statistical interpretation of data. Determination of statistical tolerance intervals
Даты и сроки
Дата издания:
11-02-20
Дата введения в действие:
12-01-18
Дата завершения срока действия:
-
Применение и описание
Область и условия применения:
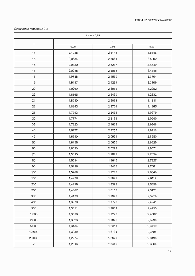
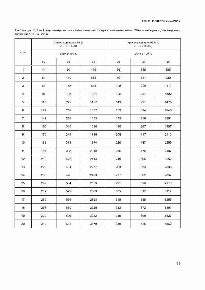
В настоящем стандарте установлены процедуры определения границ толерантных интервалов, которые накрывают долю совокупности не менее заданной. Приведенные методы позволяют определять как односторонние интервалы, имеющие только верхнюю или только нижнюю границу, так и двусторонние интервалы, имеющие и верхнюю и нижнюю границы. В настоящем стандарте установлены параметрический метод определения толерантных интервалов для нормального распределения и непараметрический метод. Непараметрический метод определения толерантных интервалов не требует знания вида функции распределения, но применим лишь в тех случаях, когда известно, что функция распределения совокупности непрерывна. Также представлены процедуры для определения двустороннего толерантного интервала для более чем одной выборки из нормального распределения, если распределения выборок имеют одну и ту же неизвестную дисперсию
Связи и замены
Заменяющий:
-
Взамен:
ГОСТ Р ИСО 16269-6-2005
Описание стандарта
ГОСТ Р 50779.29-2017 Статистические методы. Статистическое представление данных. Часть 6. Определение статистических толерантных интервалов
Страницы стандарта
















































