ГОСТ 33059-2014 Методы испытаний химической продукции, представляющей опасность для окружающей среды. Птицы: тест на острую пероральную токсичность
ГОСТ
Скачать ГОСТ в PDF или DOC бесплатно
Основная информация
Обозначение:
ГОСТ 33059-2014
Статус:
Действует
Тип:
ГОСТ
Название русское:
Методы испытаний химической продукции, представляющей опасность для окружающей среды. Птицы: тест на острую пероральную токсичность
Название английское:
Testing of chemicals of environmental hazard. Avian acute oral toxicity test
Даты и сроки
Дата регистрации:
10-20-14
Дата издания:
04-22-19
Дата введения в действие:
08-01-15
Дата завершения срока действия:
-
Применение и описание
Область и условия применения:
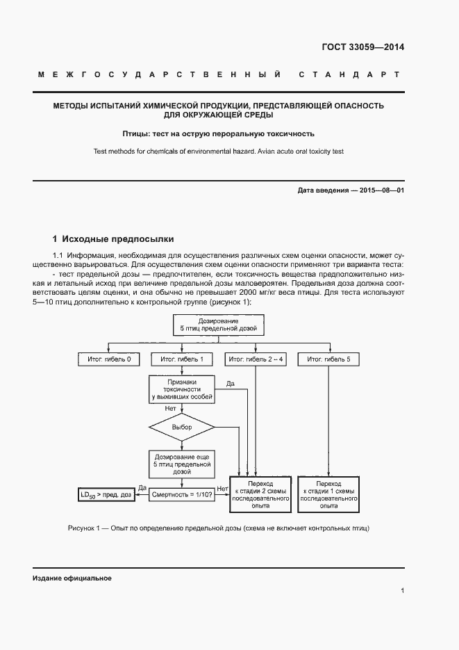
Настоящий стандарт устанавливает метод определения острой пероральной токсичности химических веществ для птиц
Связи и замены
Заменяющий:
-
Описание стандарта
ГОСТ 33059-2014 Методы испытаний химической продукции, представляющей опасность для окружающей среды. Птицы: тест на острую пероральную токсичность
Страницы стандарта























