ГОСТ Р 55845-2013 Реактивы и особо чистые вещества. Определение примесей химических элементов атомно-эмиссионной спектрометрией с индуктивно связанной плазмой
ГОСТ Р
Скачать ГОСТ в PDF или DOC бесплатно
Основная информация
Обозначение:
ГОСТ Р 55845-2013
Статус:
Действует
Тип:
ГОСТ Р
Название русское:
Реактивы и особо чистые вещества. Определение примесей химических элементов атомно-эмиссионной спектрометрией с индуктивно связанной плазмой
Название английское:
Reagents and high purity substances. Determination of impurities of chemical elements by atomic-emission spectrometry with inductively coupled plasma
Даты и сроки
Дата издания:
10-17-19
Дата введения в действие:
01-01-15
Дата завершения срока действия:
-
Применение и описание
Область и условия применения:
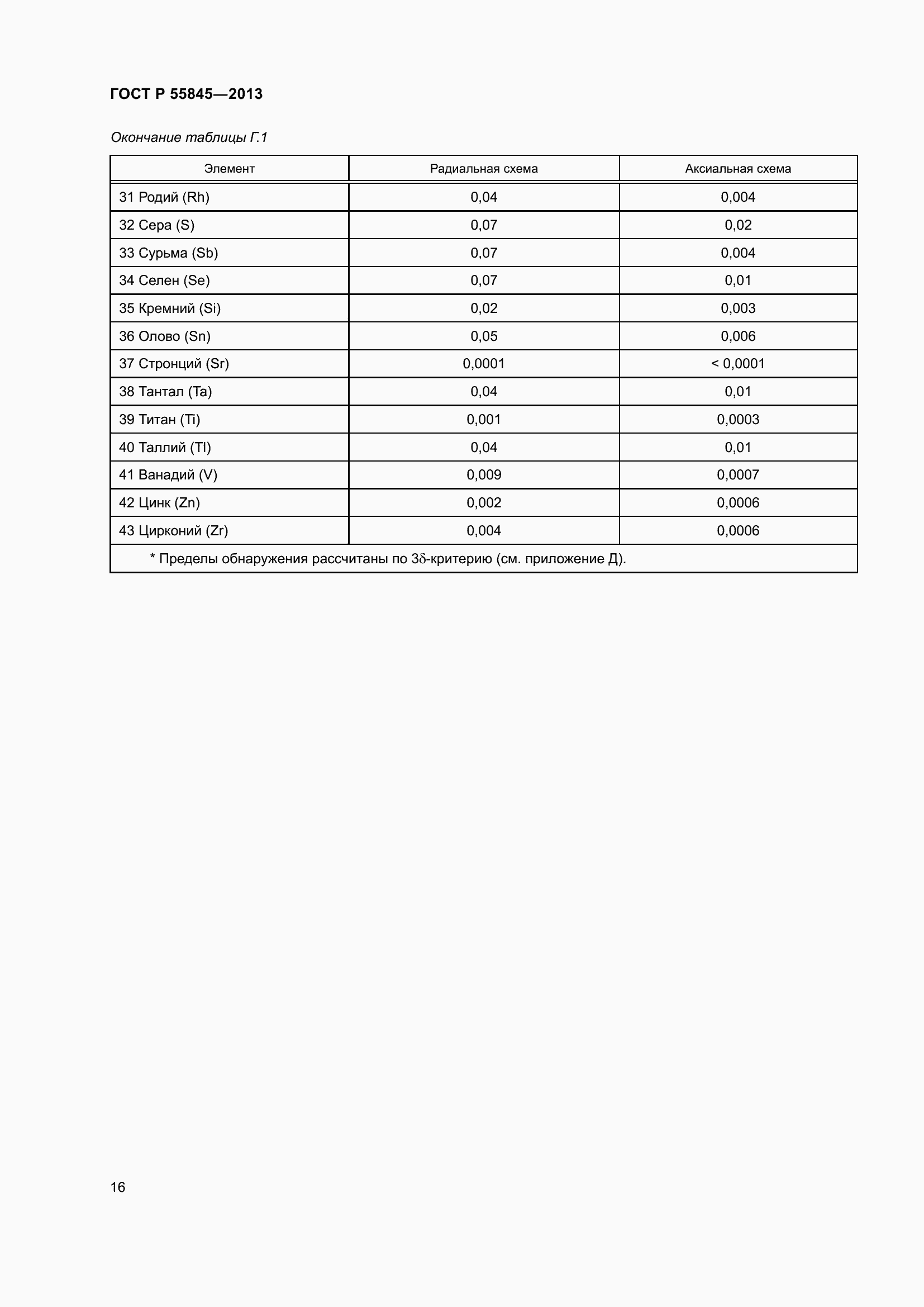
Настоящий стандарт устанавливает метод атомно-эмиссионной спектрометрии с индуктивно-связанной плазмой определения массовых долей примесей: серебра, алюминия, мышьяка, золота, бора, бария, бериллия, висмута, кальция, кадмия, кобальта, хрома, меди, железа, галлия, ртути, индия, иридия, калия, лантана, лития, фосфора, магния, марганца, молибдена, натрия, никеля, свинца, палладия, платины, родия, серы, сурьмы, селена, кремния, олова, стронция, тантала, титана, таллия, ванадия, цинка, циркония
Связи и замены
Заменяющий:
-
Описание стандарта
ГОСТ Р 55845-2013 Реактивы и особо чистые вещества. Определение примесей химических элементов атомно-эмиссионной спектрометрией с индуктивно связанной плазмой
Страницы стандарта























