ГОСТ Р 50779.75-2018 Статистические методы. Последовательные планы выборочного контроля по альтернативному признаку
ГОСТ Р
Скачать ГОСТ в PDF или DOC бесплатно
Основная информация
Обозначение:
ГОСТ Р 50779.75-2018
Статус:
Действует
Тип:
ГОСТ Р
Название русское:
Статистические методы. Последовательные планы выборочного контроля по альтернативному признаку
Название английское:
Statistical methods. Sequential sampling plans for inspection by attributes
Даты и сроки
Дата издания:
08-16-18
Дата введения в действие:
06-01-19
Дата завершения срока действия:
-
Применение и описание
Область и условия применения:
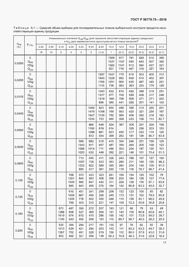
В настоящем стандарте установлены последовательные планы выборочного контроля и процедуры контроля по альтернативному признаку отдельных единиц продукции. Планы установлены в соответствии с точкой риска изготовителя и точкой риска потребителя, поэтому, они могут быть использованы не только для статистического приемочного контроля, но и для более общих целей проверки простых статистических гипотез. Целью настоящего стандарта является установление таких процедур последовательного контроля, которые стимулируют поставщика к поставке партии продукции с уровнем несоответствий, обеспечивающим высокую вероятность приемки. Интересы потребителя защищены установленной верхней границей вероятности приемки партии низкого качества. В настоящем стандарте установлены планы выборочного контроля, применимые при контроле таких видов продукции как: - готовая продукция; - сырье и материалы; - процессы и технологические операции; - материалы в процессе производства; - материалы на хранении; - операции технического обслуживания; - данные или записи; - административные процедуры. В настоящем стандарте установлены планы выборочного контроля по альтернативному признаку отдельных единиц продукции. Планы выборочного контроля предназначены для применения в ситуациях, когда степень несоответствия продукции выражена или в виде процента несоответствующих единиц продукции, или процента несоответствий на 100 единиц продукции
Связи и замены
Заменяющий:
-
Взамен:
ГОСТ Р ИСО 8422-2011
Описание стандарта
ГОСТ Р 50779.75-2018 Статистические методы. Последовательные планы выборочного контроля по альтернативному признаку
Страницы стандарта






























