ГОСТ Р 50779.81-2018 Статистические методы. Двухступенчатые планы контроля по альтернативному признаку с минимальным объемом выработки на основе значений PRQ И CRQ
ГОСТ Р
Скачать ГОСТ в PDF или DOC бесплатно
Основная информация
Обозначение:
ГОСТ Р 50779.81-2018
Статус:
Действует
Тип:
ГОСТ Р
Название русское:
Статистические методы. Двухступенчатые планы контроля по альтернативному признаку с минимальным объемом выработки на основе значений PRQ И CRQ
Название английское:
Statistical methods. Double sampling plans by attributes with minimal sample sizes indexed by PRQ and CRQ values
Даты и сроки
Дата издания:
08-13-18
Дата введения в действие:
06-01-19
Дата завершения срока действия:
-
Применение и описание
Область и условия применения:
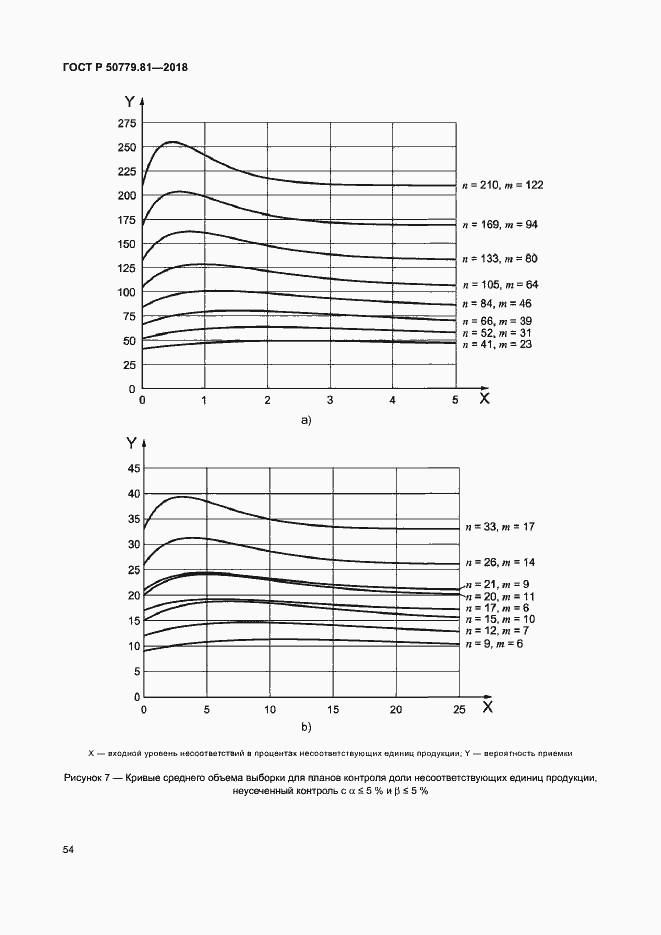
В настоящем стандарте установлены двухступенчатые планы выборочного контроля по альтернативному признаку для приемочного контроля партий дискретных единиц продукции. Планы индексированы по значениям уровня несоответствий, соответствующего риску поставщика (PRQ), и уровня несоответствий, соответствующего риску потребителя (CRQ), для значений рисков поставщика и потребителя соответственно (5 %, 5 %), (5 %, 10 %) и (10 %, 10 %). Планы могут быть применены для контроля доли несоответствующих единиц продукции и для контроля числа несоответствий на 100 единиц продукции. Партию принимают при отсутствии несоответствующих единиц продукции (несоответствий) в первой выборке и отклоняют, если в выборке обнаружено две или более несоответствующих единиц продукции. Если в первой выборке обнаружена одна несоответствующая единица продукции, а во второй выборке не обнаружено несоответствующих единиц продукции (несоответствий), то партию принимают. Во всех остальных случаях партию отклоняют. Целью настоящего стандарта является обеспечение процедур, позволяющих быстро и эффективно принимать или отклонять партии при высоком или низком качестве продукции. В тех случаях, когда по результатам контроля первой выборки невозможно принять или отклонить партию, отбирают вторую выборку, что позволяет более достоверно различать приемлемые и неприемлемые партии. Суммы объемов первой и второй выборок соответствуют наименьшему значению максимального среднего объема выборки, при условии, что для входного уровня несоответствий продукции не превышены риски, указанные в плане контроля
Связи и замены
Заменяющий:
-
Взамен:
ГОСТ Р ИСО 28801-2013
Описание стандарта
ГОСТ Р 50779.81-2018 Статистические методы. Двухступенчатые планы контроля по альтернативному признаку с минимальным объемом выработки на основе значений PRQ И CRQ
Страницы стандарта



















































































