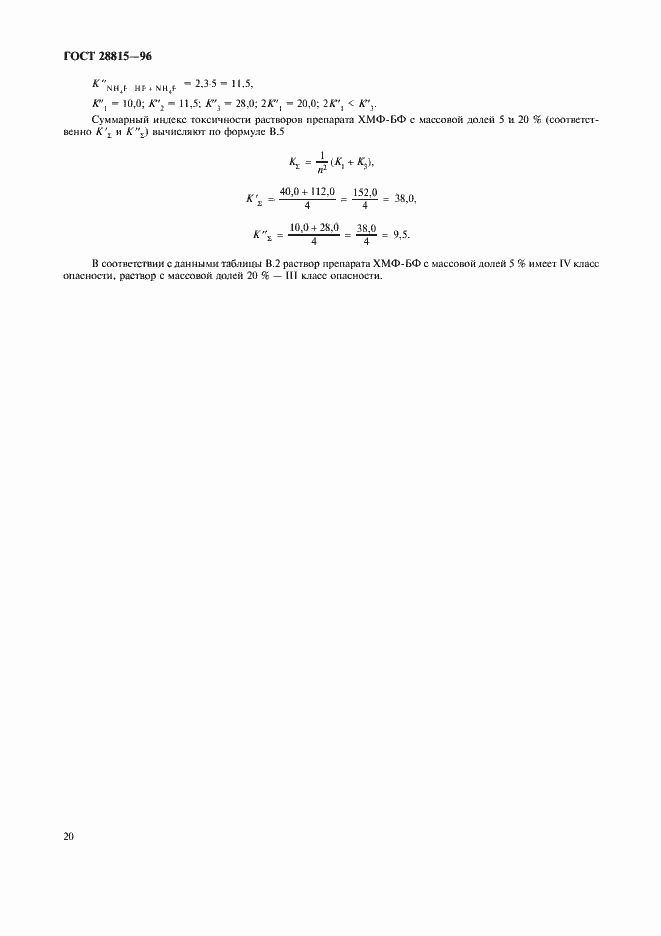
ГОСТ 28815-96 Растворы водные защитных средств для древесины. Технические условия
ГОСТ
Скачать ГОСТ в PDF или DOC бесплатно
Основная информация
Обозначение:
ГОСТ 28815-96
Статус:
Заменен
Тип:
ГОСТ
Название русское:
Растворы водные защитных средств для древесины. Технические условия
Название английское:
Aqueous solutions of wood protective means. Specifications
Даты и сроки
Дата регистрации:
04-12-96
Дата издания:
09-01-04
Дата введения в действие:
01-01-97
Дата завершения срока действия:
04-01-19
Применение и описание
Область и условия применения:
Настоящий стандарт распространяется на водные растворы био- и огнебиозащитных средств для древесины и устанавливает технические требования к ним, требования безопасности и методы анализа
Связи и замены
Заменяющий:
ГОСТ 28815-2018
Взамен:
ГОСТ 28815-90
Описание стандарта
ГОСТ 28815-96 Растворы водные защитных средств для древесины. Технические условия
Страницы стандарта























