ГОСТ Р ИСО 16269-8-2005 Статистические методы. Статистическое представление данных. Определение предикционных интервалов
ГОСТ Р ИСО
Скачать ГОСТ в PDF или DOC бесплатно
Основная информация
Обозначение:
ГОСТ Р ИСО 16269-8-2005
Статус:
Действует
Тип:
ГОСТ Р ИСО
Название русское:
Статистические методы. Статистическое представление данных. Определение предикционных интервалов
Название английское:
Statistical methods. Statistical interpretation of data. Determination of prediction intervals
Даты и сроки
Дата издания:
10-27-20
Дата введения в действие:
09-01-05
Дата завершения срока действия:
-
Применение и описание
Область и условия применения:
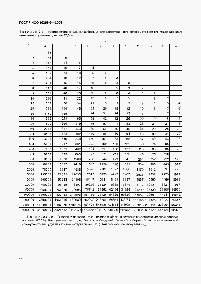
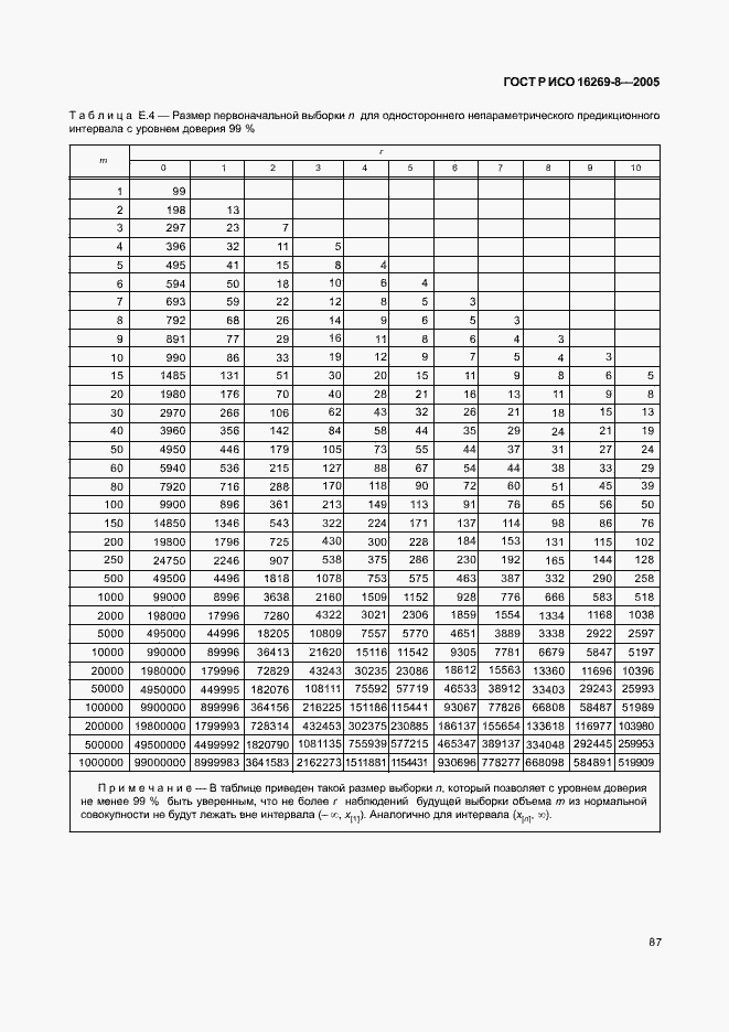
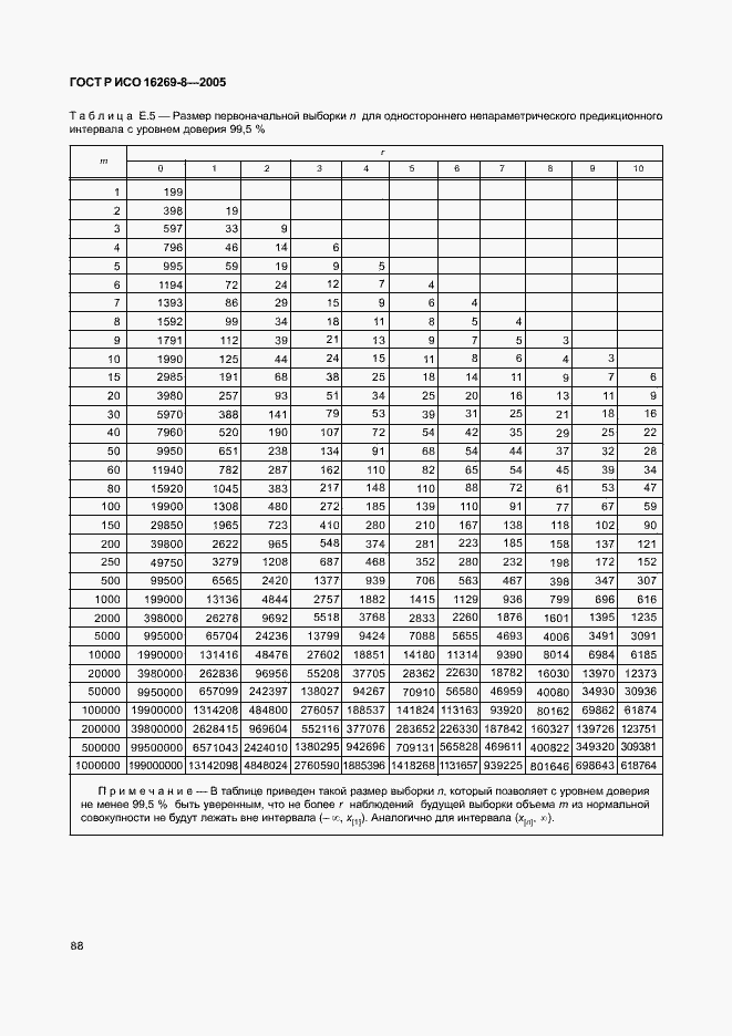
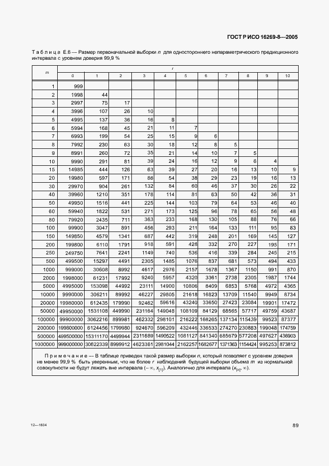
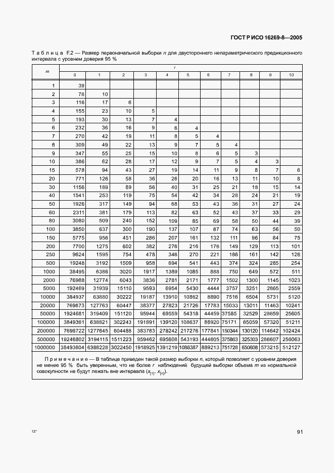
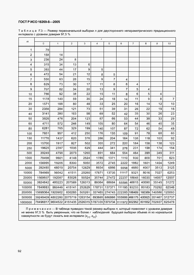
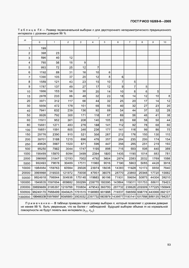
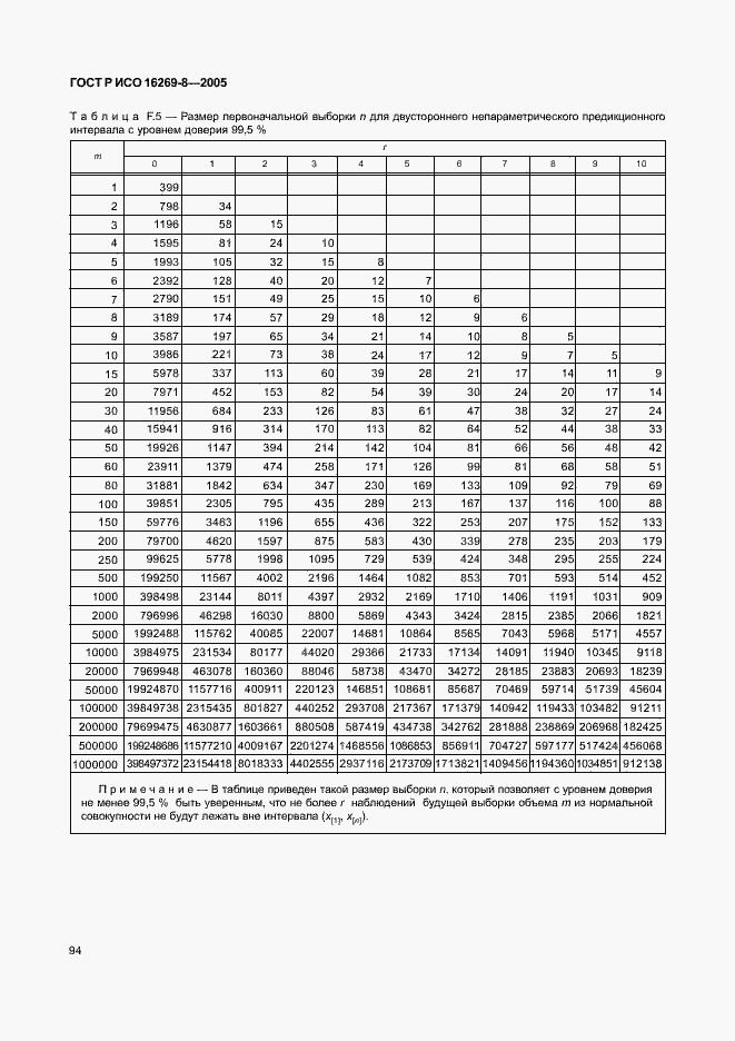
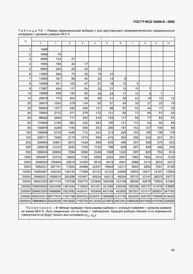
Настоящий стандарт устанавливает методы определения предикционных интервалов для единственной переменной с непрерывной функцией распределения. Построение предикционного интервала сводится к прогнозированию диапазона значений переменной по случайной выборке размера n для будущей случайной выборки размера m из той же самой совокупности с заданным уровнем доверия
Связи и замены
Заменяющий:
-
Описание стандарта
ГОСТ Р ИСО 16269-8-2005 Статистические методы. Статистическое представление данных. Определение предикционных интервалов
Страницы стандарта












































































































