ГОСТ Р 55783-2013 Торпеды фугасные. Технические условия
ГОСТ Р
Скачать ГОСТ в PDF или DOC бесплатно
Основная информация
Обозначение:
ГОСТ Р 55783-2013
Статус:
Действует
Тип:
ГОСТ Р
Название русское:
Торпеды фугасные. Технические условия
Название английское:
High-explosive torpedoes. Technical conditions
Даты и сроки
Дата издания:
05-21-19
Дата введения в действие:
06-01-14
Дата завершения срока действия:
-
Применение и описание
Область и условия применения:
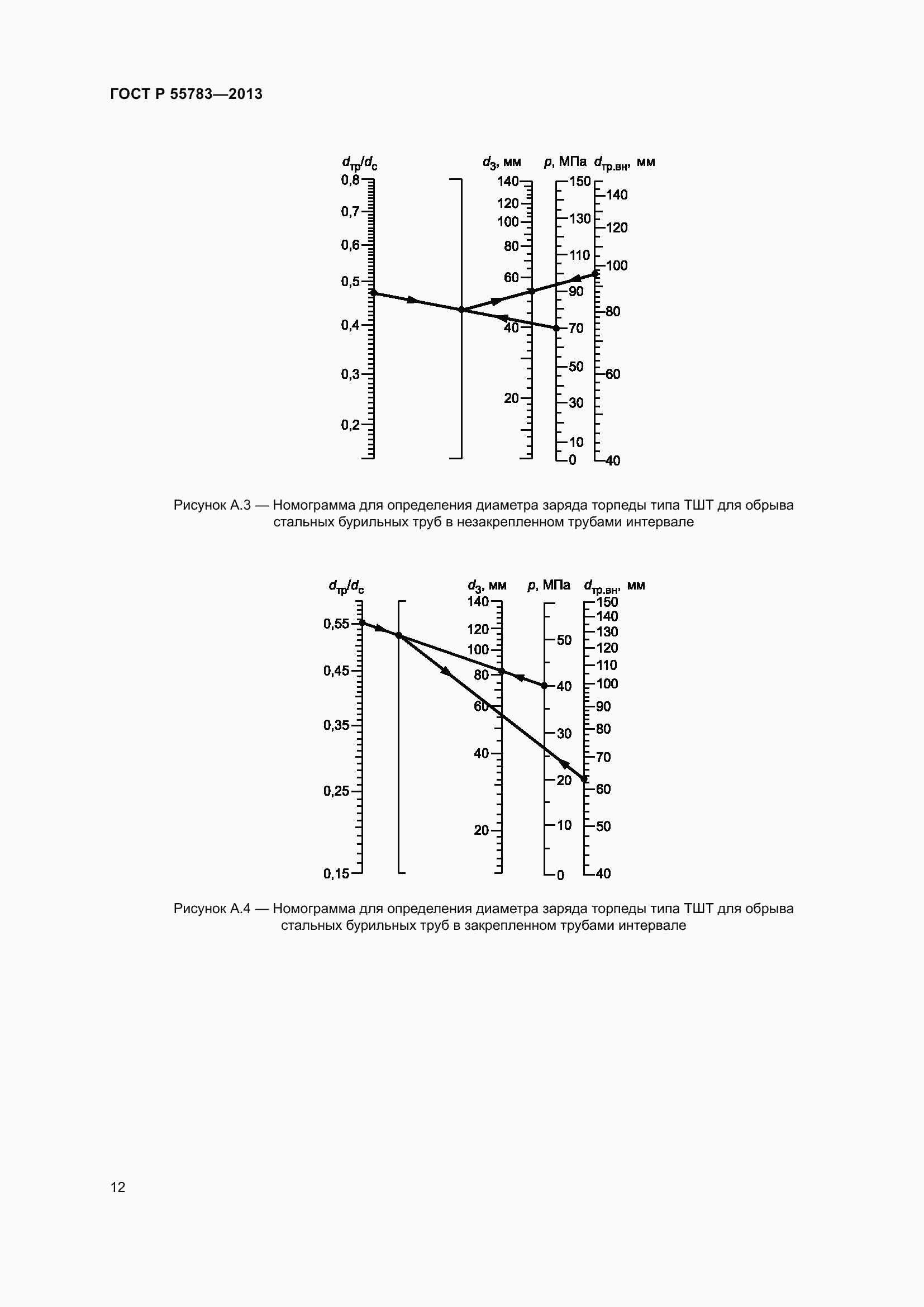
Настоящий стандарт распространяется на торпеды фугасные, представляющие собой изделия одноразового применения, предназначенные для обрыва, отвинчивания или встряхивания насосно-компрессорных, обсадных и бурильных труб при ликвидации аварий в скважинах, а также для разрушения металлических предметов, находящихся в скважине и препятствующих бурению либо эксплуатации скважины
Связи и замены
Заменяющий:
-
Описание стандарта
ГОСТ Р 55783-2013 Торпеды фугасные. Технические условия
Страницы стандарта















