ГОСТ Р ИСО 17584-2015 Свойства хладагентов
ГОСТ Р ИСО
Скачать ГОСТ в PDF или DOC бесплатно
Основная информация
Обозначение:
ГОСТ Р ИСО 17584-2015
Статус:
Действует
Тип:
ГОСТ Р ИСО
Название русское:
Свойства хладагентов
Название английское:
Refrigerant properties
Даты и сроки
Дата издания:
12-24-15
Дата введения в действие:
01-01-16
Дата завершения срока действия:
-
Применение и описание
Область и условия применения:
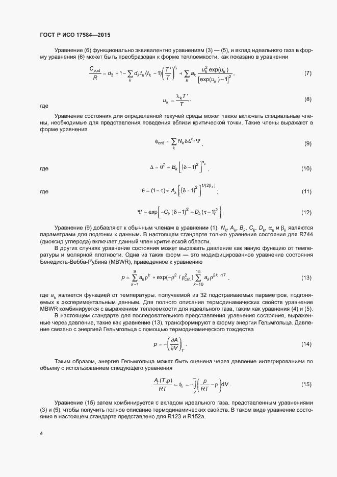
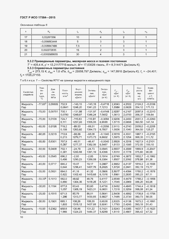
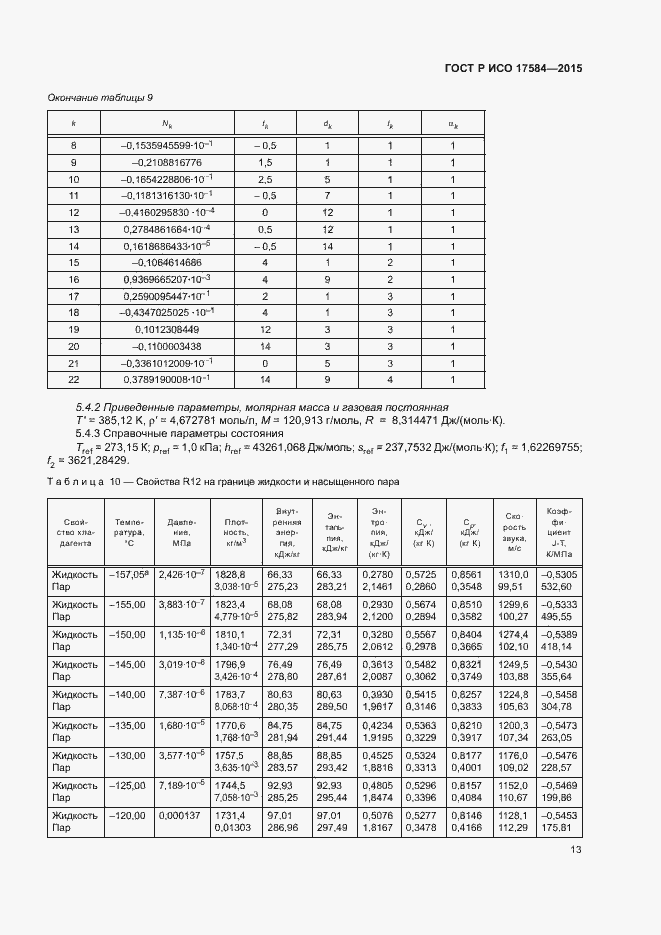
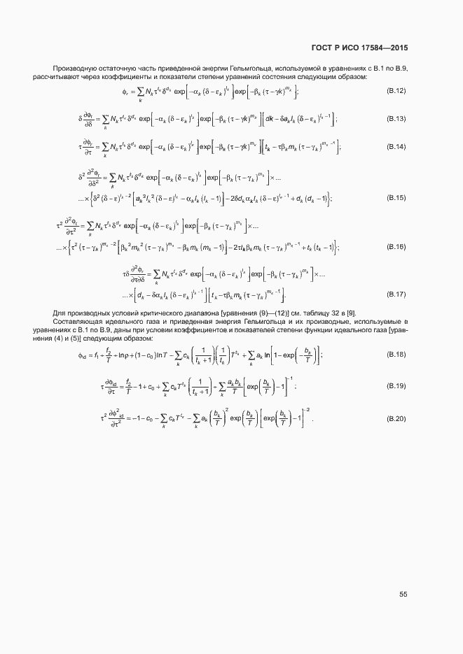
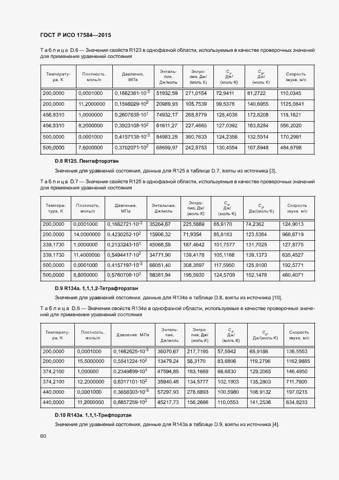
Настоящий стандарт определяет теплофизические свойства нескольких широко используемых хладагентов и смесей хладагентов. Настоящий стандарт применим к хладагентам R12, R22, R32, R123, R125, R134a, R143a, R152a, R717 (аммиак) и R744 (диоксид углерода) и к смесям хладагентов R404A, R407С, R410A и R507A. Включены следующие свойства: плотность, давление, внутренняя энергия, энтальпия, энтропия, теплоемкость при постоянном давлении, теплоемкость при постоянном объеме, скорость звука и коэффициент Джоуля-Томсона, как в однофазном состоянии, так и на границе насыщения жидкости/пара. Числовое обозначение хладагентов - в соответствии с ИСО 817
Связи и замены
Заменяющий:
-
Описание стандарта
ГОСТ Р ИСО 17584-2015 Свойства хладагентов
Страницы стандарта








































































