ГОСТ Р 40.005-2000 Система сертификации ГОСТ Р. Регистр систем качества. Инспекционный контроль сертифицированных систем качества и производств
ГОСТ Р
Скачать ГОСТ в PDF или DOC бесплатно
Основная информация
Обозначение:
ГОСТ Р 40.005-2000
Статус:
Отменен
Тип:
ГОСТ Р
Название русское:
Система сертификации ГОСТ Р. Регистр систем качества. Инспекционный контроль сертифицированных систем качества и производств
Название английское:
GOST R certification system. Quality systems register. Certified quality systems and productions surveillance
Даты и сроки
Дата издания:
08-01-03
Дата введения в действие:
12-01-00
Дата завершения срока действия:
03-01-06
Применение и описание
Область и условия применения:
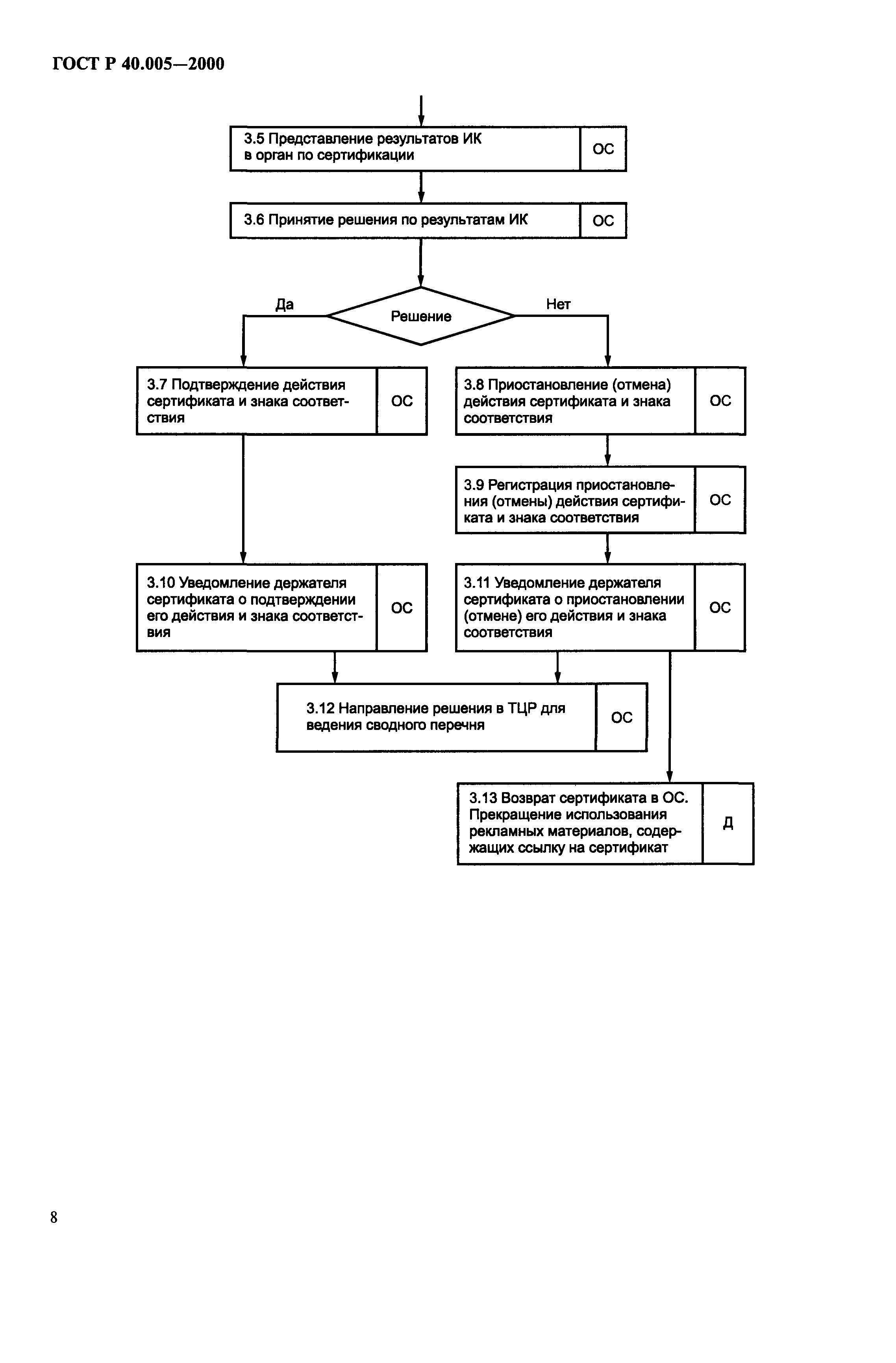
Настоящий стандарт устанавливает основные правила и порядок проведения инспекционного контроля сертифицированных систем качества и сертифицированных производств, а также правила передачи работ по инспекционному контролю другим органам по сертификации. Стандарт предназначен для применения участниками Регистра систем качества Госстандарта России при проведении инспекционного контроля сертифицированных систем качества и сертифицированных производств организаций
Связи и замены
Заменяющий:
-
Взамен:
ГОСТ Р 40.005-96
Изменения и переиздания
Список изменений:
№0 от (рег. ) «Утратил силу в РФ» №0 от (рег. ) «Текстовое изменение; Изменено заглавие»
Описание стандарта
ГОСТ Р 40.005-2000 Система сертификации ГОСТ Р. Регистр систем качества. Инспекционный контроль сертифицированных систем качества и производств
Страницы стандарта















