ГОСТ 17310-86 Газы. Пикнометрический метод определения плотности
ГОСТ
Скачать ГОСТ в PDF или DOC бесплатно
Основная информация
Обозначение:
ГОСТ 17310-86
Статус:
Заменен
Тип:
ГОСТ
Название русское:
Газы. Пикнометрический метод определения плотности
Название английское:
Gases. Picknometric method for determination of density
Даты и сроки
Дата издания:
03-05-87
Дата введения в действие:
06-30-87
Дата завершения срока действия:
01-01-04
Применение и описание
Область и условия применения:
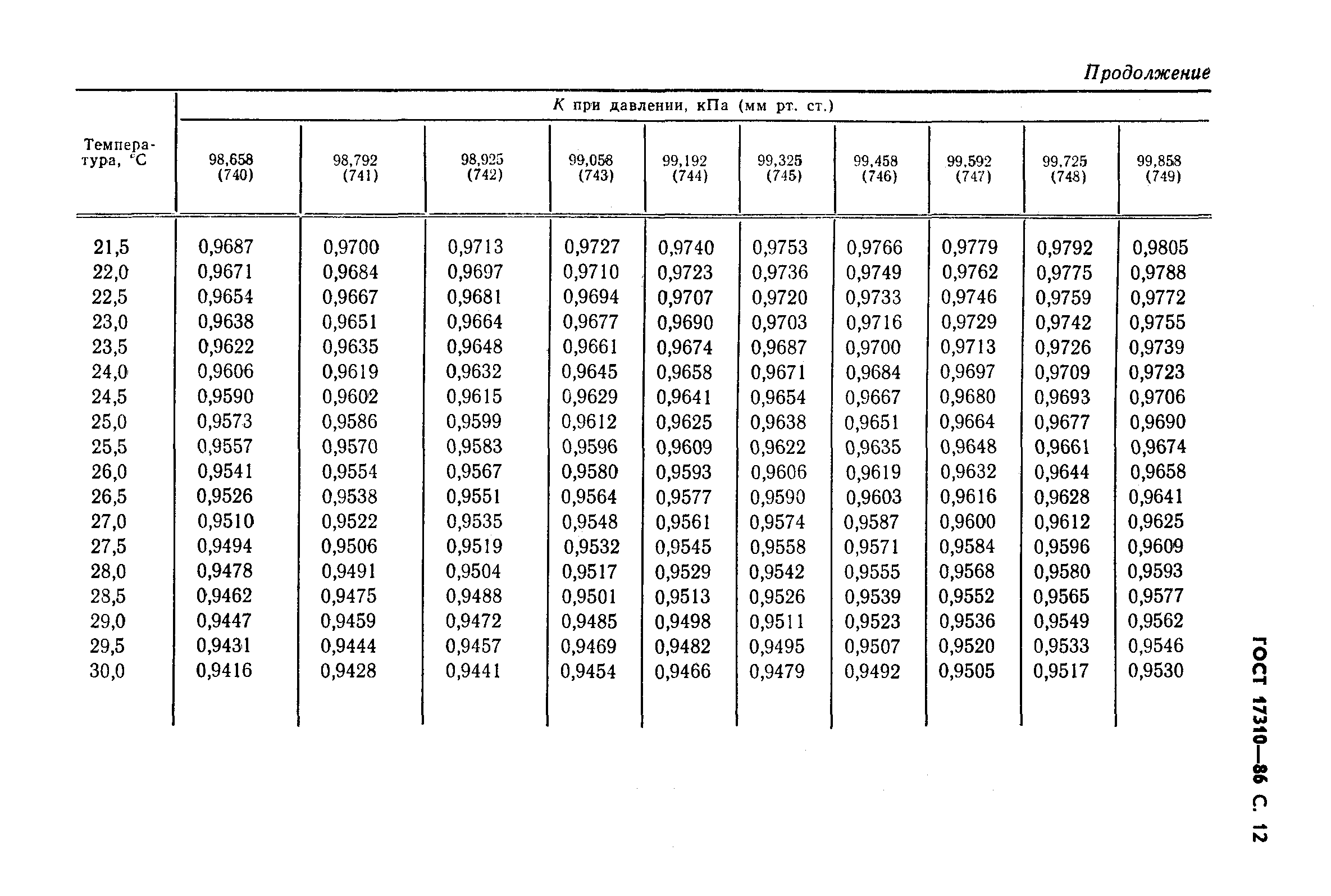
Настоящий стандарт устанавливает пикнометрический метод определения плотности (р) и относительной плотности (d) газов. Стандарт распространяется на газы и газовые смеси, которые в условиях опыта не изменяют своего состава. Стандарт не распространяется на газы, насыщенные влагой, температура которых превышает 40 °С
Связи и замены
Заменяющий:
ГОСТ 17310-2002
Взамен:
ГОСТ 17310-81
Описание стандарта
ГОСТ 17310-86 Газы. Пикнометрический метод определения плотности
Страницы стандарта



















