ГОСТ Р 59414-2021 Экологические средства защиты растений на основе хлористого магниевомедного комплекса «Билатор». Общие технические условия
ГОСТ Р
Скачать ГОСТ в PDF или DOC бесплатно
Основная информация
Обозначение:
ГОСТ Р 59414-2021
Статус:
Действует
Тип:
ГОСТ Р
Название русское:
Экологические средства защиты растений на основе хлористого магниевомедного комплекса «Билатор». Общие технические условия
Название английское:
Environmental protection of plants based on the chloride magnesium-copper complex «Bilator». General specifications
Даты и сроки
Дата издания:
04-13-21
Дата введения в действие:
06-01-21
Дата завершения срока действия:
-
Применение и описание
Область и условия применения:
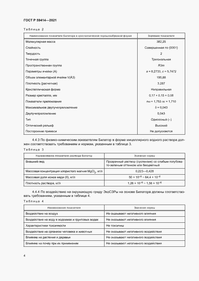
Настоящий стандарт распространяется на действующее вещество хлористый магниевомедный комплекс «Билатор» (Билатор) и получаемые на его основе экологические средства защиты растений (Эко-СЗРы). Настоящий стандарт устанавливает общие требования к качеству и безопасности Билатора и Эко-СЗРов при их использовании в системе агропромышленного комплекса при выращивании сельскохозяйственных культур, в производстве пищевой продукции и продовольственного сырья с улучшенными экологическими характеристиками, при селекции декоративных растений и озеленении парковых и рекреационных зон в городах и населенных пунктах. Основная функция Эко-СЗРов – обеспечение защиты растений и продукции растениеводства от вредных организмов и болезней, повышение урожайности и качества сельскохозяйственной продукции без оказания негативного влияния на экологию и окружающую среду, здоровье человека и животных. Билатор также может использоваться в качестве адьюванта для пестицидов с целью улучшения их экологических характеристик
Связи и замены
Заменяющий:
-
Описание стандарта
ГОСТ Р 59414-2021 Экологические средства защиты растений на основе хлористого магниевомедного комплекса «Билатор». Общие технические условия
Страницы стандарта










