ГОСТ 30780-2002 Сосуды и аппараты стальные. Компенсаторы сильфонные и линзовые. Методы расчета на прочность
ГОСТ
Скачать ГОСТ в PDF или DOC бесплатно
Основная информация
Обозначение:
ГОСТ 30780-2002
Статус:
Действует
Тип:
ГОСТ
Название русское:
Сосуды и аппараты стальные. Компенсаторы сильфонные и линзовые. Методы расчета на прочность
Название английское:
Steel vessels and apparatus. Bellows-type expansion joints. Strength calculation methods
Даты и сроки
Дата регистрации:
05-30-02
Дата издания:
12-10-02
Дата введения в действие:
07-01-03
Дата завершения срока действия:
-
Применение и описание
Область и условия применения:
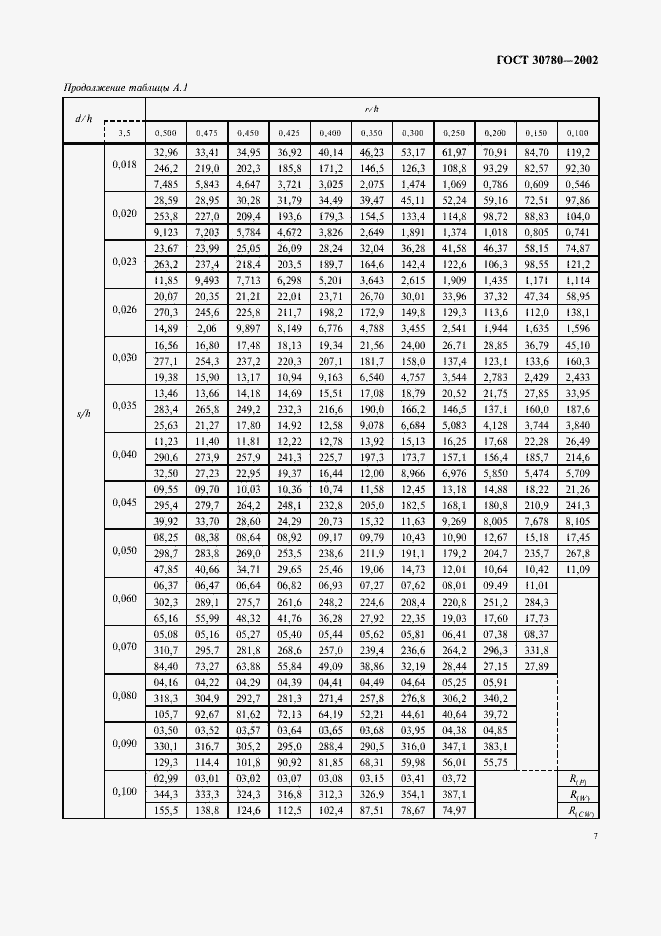
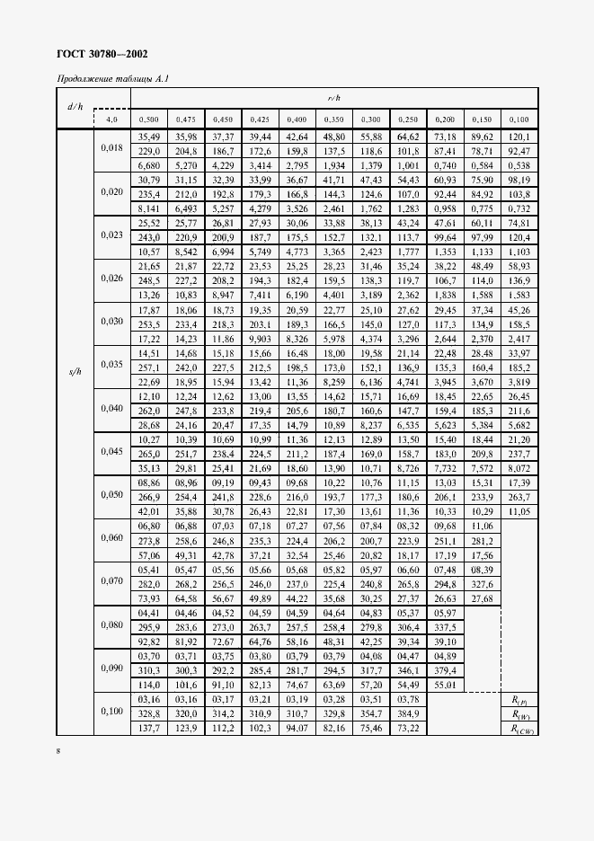
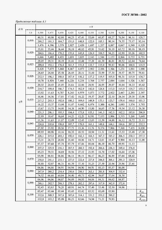
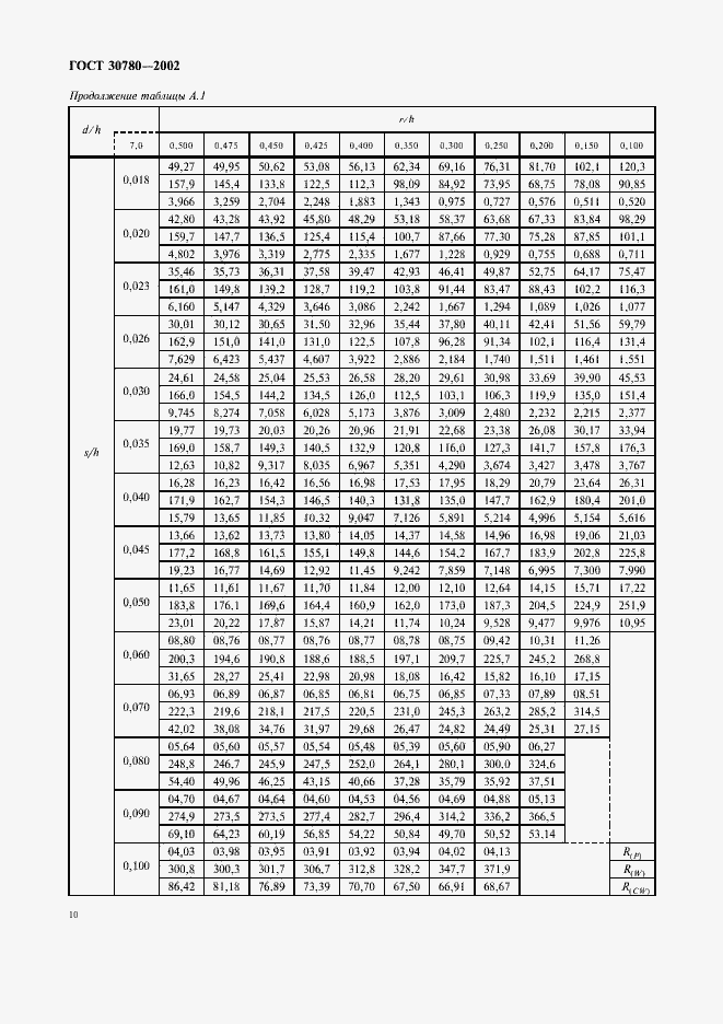
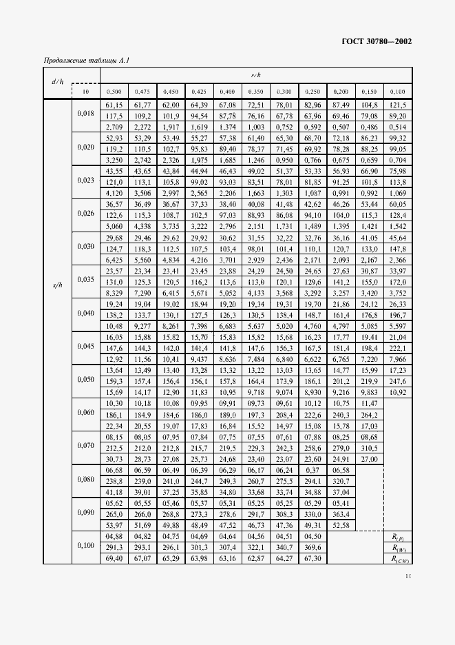
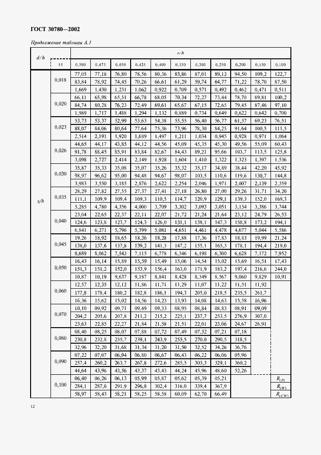
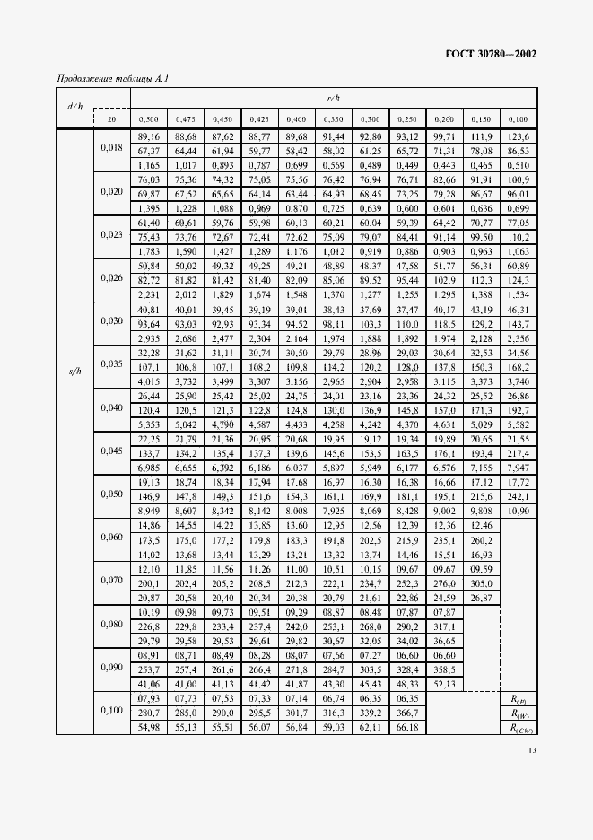
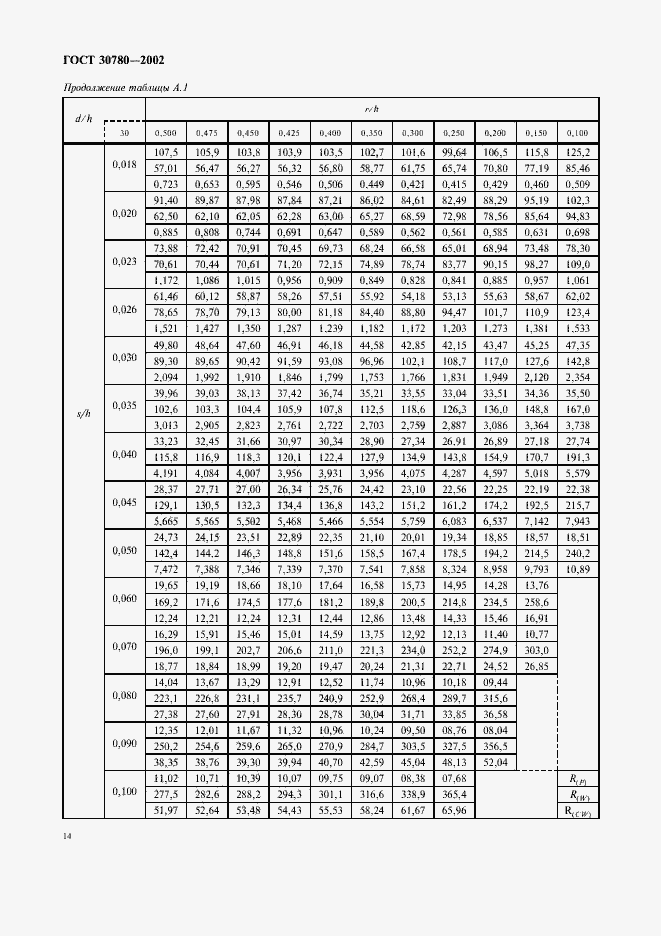
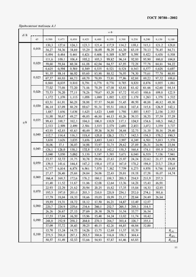
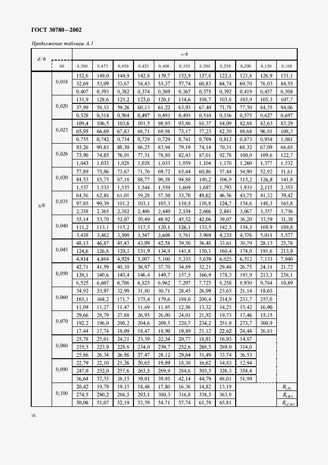
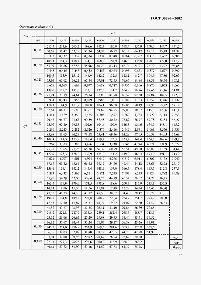
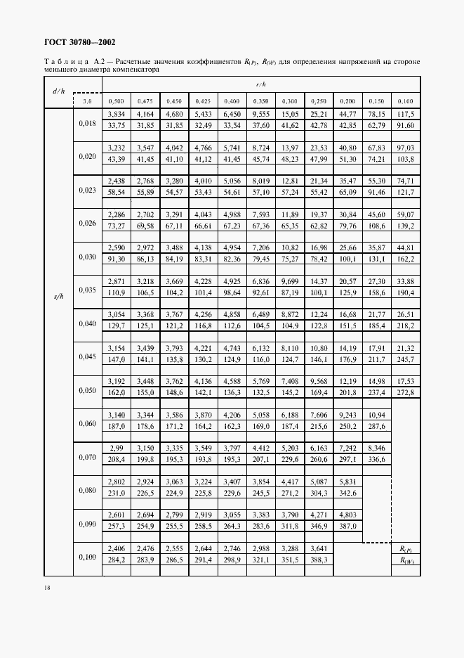
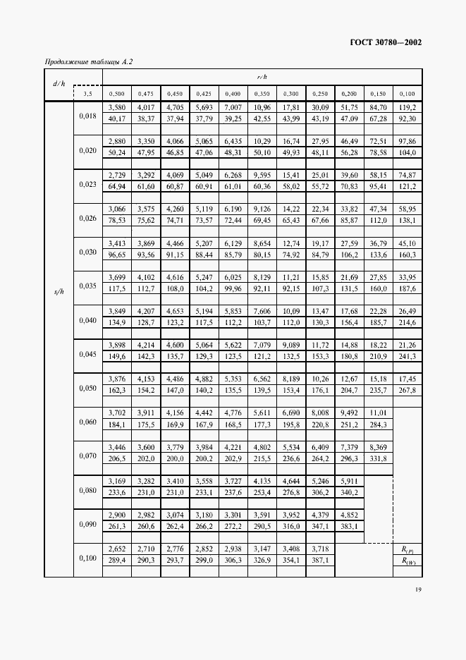
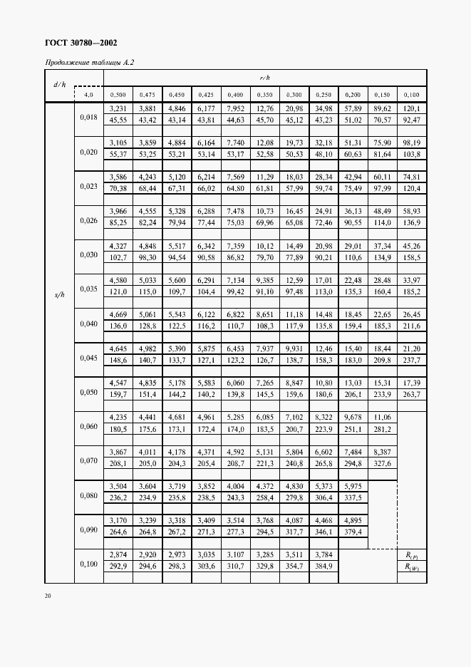
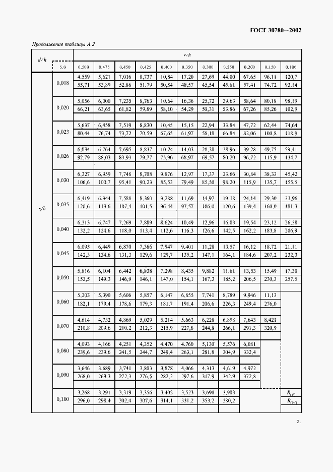
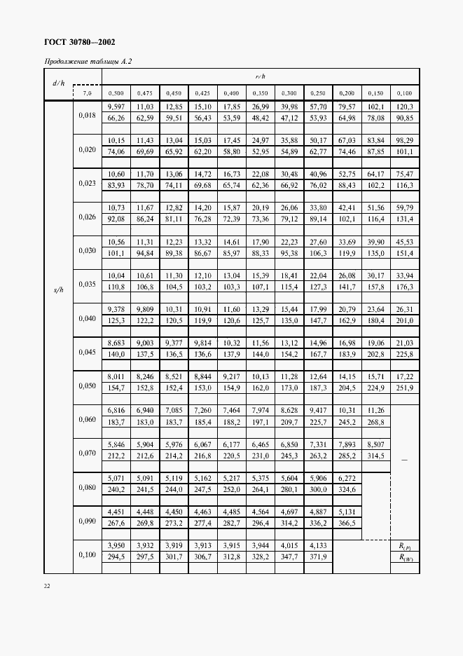
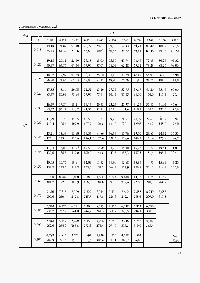
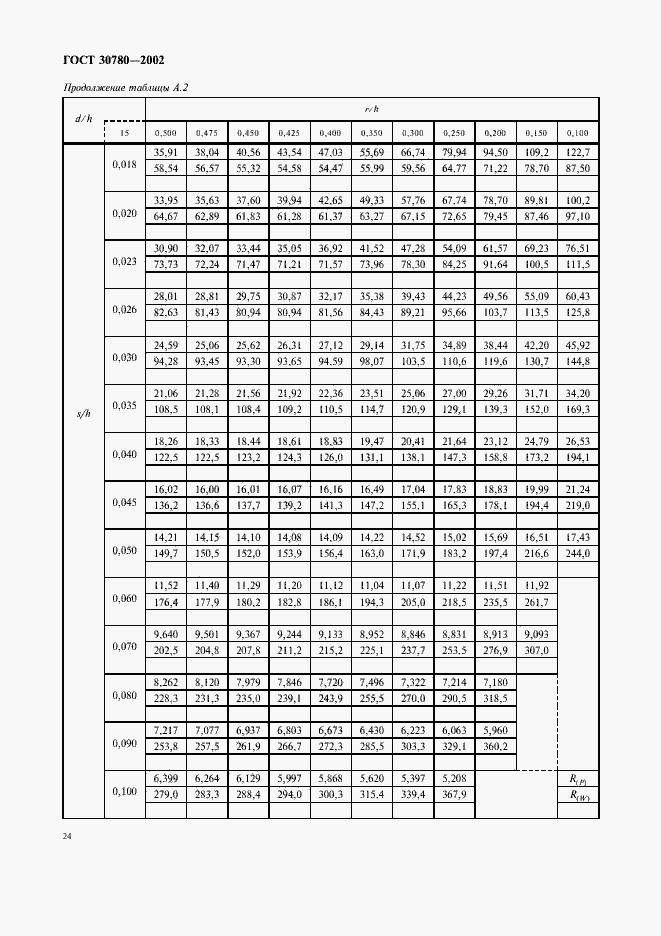
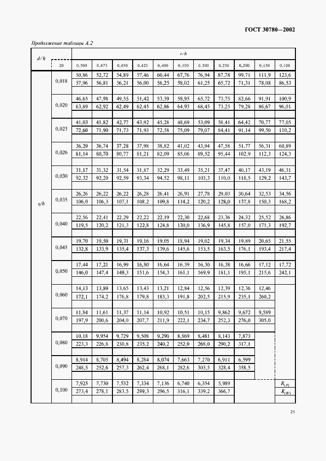
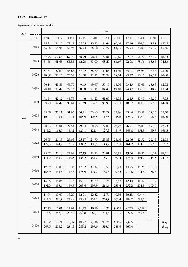
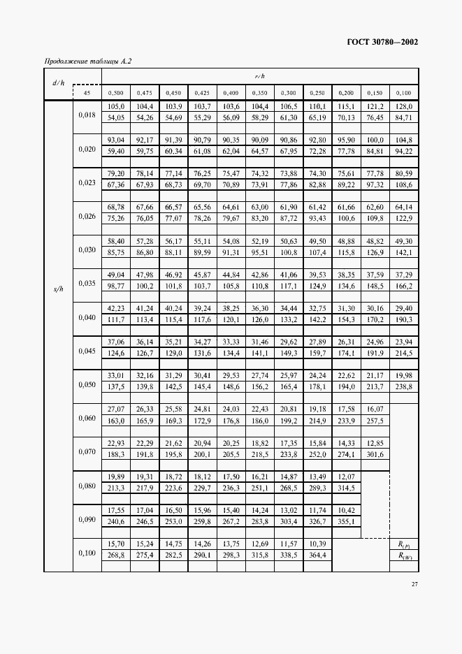
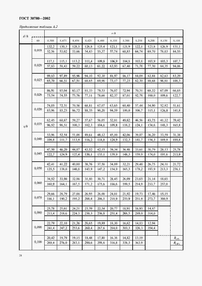
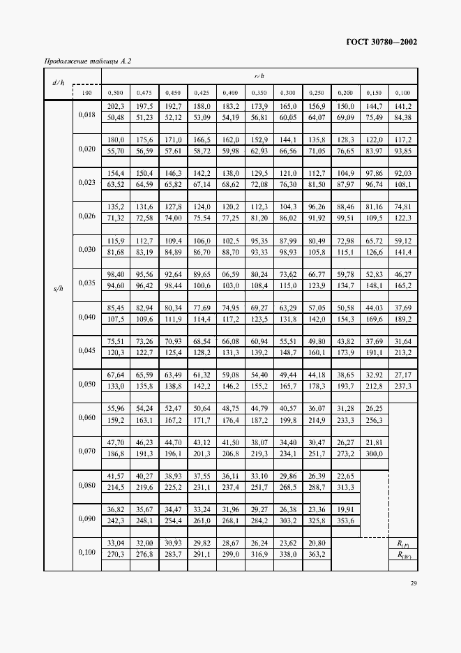
Настоящий стандарт распространяется на однослойные сильфонные и линзовые компенсаторы с параллельными или наклонными (до 8 град.) пластинчатыми участками волны, которые используют в сосудах и аппаратах химической, нефтехимической, нефтегазоперерабатывающей и смежных отраслях промышленности, нагруженные внутренним или наружным избыточным давлением, а также нагрузкой от осевых перемещений, и устанавливает методы расчета на прочность, жесткость и малоцикловую прочность
Связи и замены
Заменяющий:
-
Взамен:
СТ СЭВ 4351-83
Изменения и переиздания
Список изменений:
№0 от (рег. ) «Дата введения перенесена»
Описание стандарта
ГОСТ 30780-2002 Сосуды и аппараты стальные. Компенсаторы сильфонные и линзовые. Методы расчета на прочность
Страницы стандарта

































Приложение №1: Поправка к ГОСТ 30780-2002 Обозначение: Поправка к ГОСТ 30780-2002 Дата введения в действие: 27.09.2005
