ГОСТ Р 52857.8-2007 Сосуды и аппараты. Нормы и методы расчета на прочность. Сосуды и аппараты с рубашками
ГОСТ Р
Скачать ГОСТ в PDF или DOC бесплатно
Основная информация
Обозначение:
ГОСТ Р 52857.8-2007
Статус:
Отменен
Тип:
ГОСТ Р
Название русское:
Сосуды и аппараты. Нормы и методы расчета на прочность. Сосуды и аппараты с рубашками
Название английское:
Vessels and apparatus. Norms and methods of strength calculation. Jacketed vessels and apparatus
Даты и сроки
Дата издания:
05-20-09
Дата введения в действие:
04-01-08
Дата завершения срока действия:
08-01-18
Применение и описание
Область и условия применения:
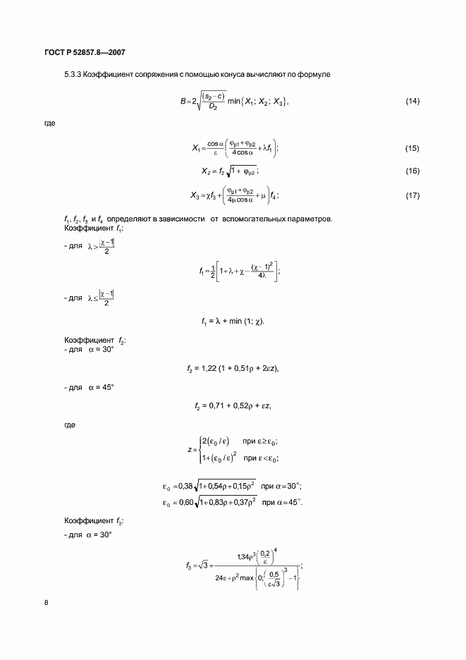
Настоящий стандарт распространяется на сосуды с U-образной или цилиндрической рубашкой, с рубашкой, сопряженной анкерными трубами или отбортовкой, а также с рубашкой в виде змеевиков или регистровых каналов для обогрева или охлаждения сосуда, нагруженные избыточным давлением в сосуде или (и) в рубашке, собственным весом и стесненностью температурных деформаций. Настоящий стандарт применяется совместно с ГОСТ Р 52857.1
Связи и замены
Заменяющий:
-
Изменения и переиздания
Список изменений:
№0 от (рег. ) «Текстовое изменение; Изменено заглавие»
Описание стандарта
ГОСТ Р 52857.8-2007 Сосуды и аппараты. Нормы и методы расчета на прочность. Сосуды и аппараты с рубашками
Страницы стандарта






























