ГОСТ 34233.8-2017 Сосуды и аппараты. Нормы и методы расчета на прочность. Сосуды и аппараты с рубашками
ГОСТ
Скачать ГОСТ в PDF или DOC бесплатно
Основная информация
Обозначение:
ГОСТ 34233.8-2017
Статус:
Действует
Тип:
ГОСТ
Название русское:
Сосуды и аппараты. Нормы и методы расчета на прочность. Сосуды и аппараты с рубашками
Название английское:
Vessels and apparatus. Norms and methods of strength calculation. Jacketed vessels and apparatus
Даты и сроки
Дата регистрации:
07-14-17
Дата издания:
05-27-19
Дата введения в действие:
08-01-18
Дата завершения срока действия:
-
Применение и описание
Область и условия применения:
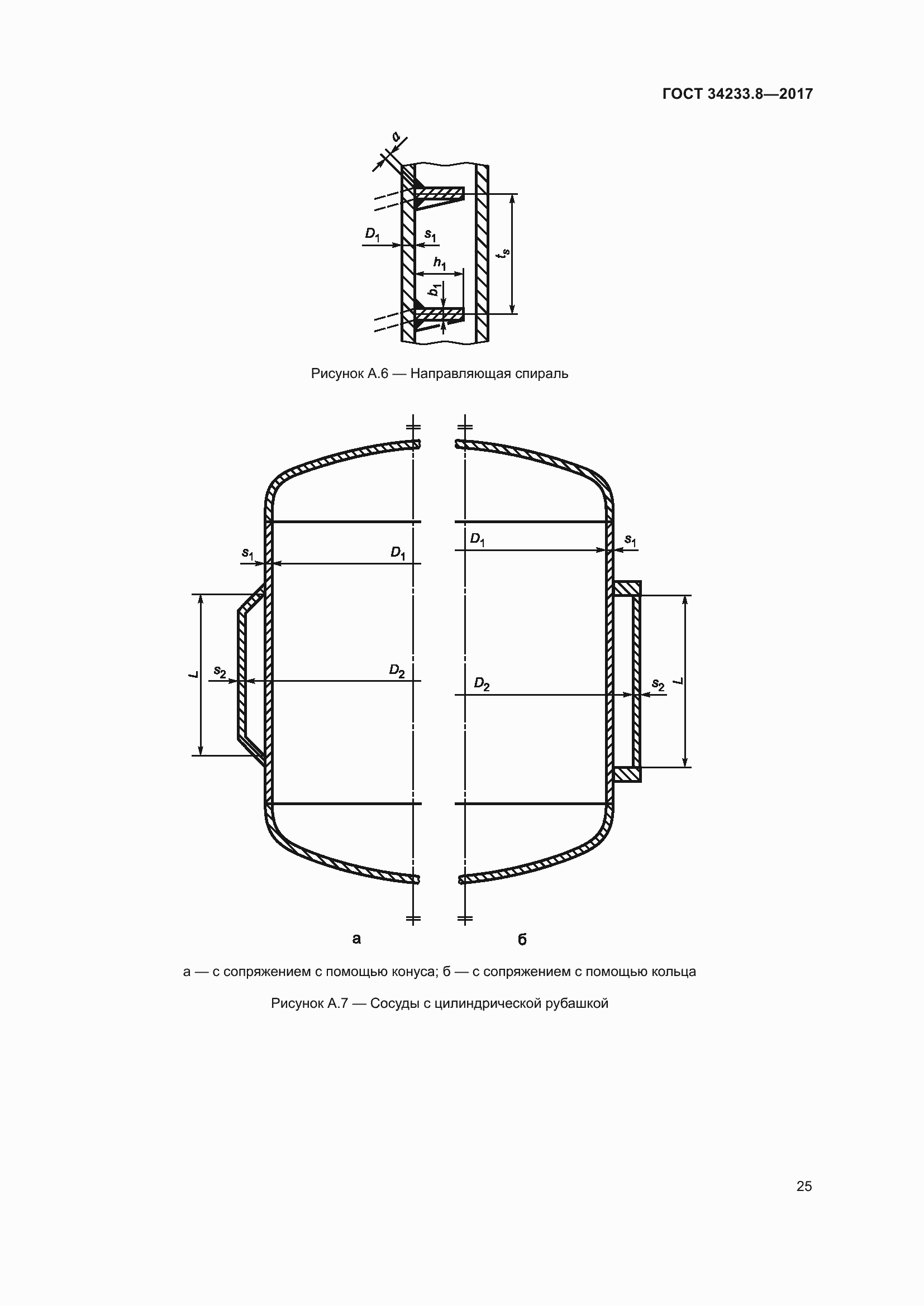
Настоящий стандарт распространяется на сосуды с U-образной или цилиндрической рубашкой, с рубашкой, сопряженной анкерными трубами или отбортовкой, а также с рубашкой в виде змеевиковых или регистровых каналов для обогрева или охлаждения сосуда, нагруженные избыточным давлением в сосуде или (и) в рубашке, собственной массой и стесненностью температурных деформаций. Настоящий стандарт применяется совместно с ГОСТ 34233.1
Приложение №1:
Поправка к ГОСТ 34233.8-2017 Обозначение: Поправка к ГОСТ 34233.8-2017 Дата введения в действие: 21.05.2018
Связи и замены
Заменяющий:
-
Взамен:
ГОСТ 25867-83
Изменения и переиздания
Список изменений:
№0 от (рег. ) «Дата введения перенесена»
Описание стандарта
ГОСТ 34233.8-2017 Сосуды и аппараты. Нормы и методы расчета на прочность. Сосуды и аппараты с рубашками
Страницы стандарта


































Приложение №1: Поправка к ГОСТ 34233.8-2017 Обозначение: Поправка к ГОСТ 34233.8-2017 Дата введения в действие: 21.05.2018

Приложение №2: Поправка к ГОСТ 34233.8-2017 Обозначение: Поправка к ГОСТ 34233.8-2017 Дата введения в действие: 29.12.2021

Приложение №3: Поправка к ГОСТ 34233.8-2017 Обозначение: Поправка к ГОСТ 34233.8-2017 Дата введения в действие: 11.09.2023
