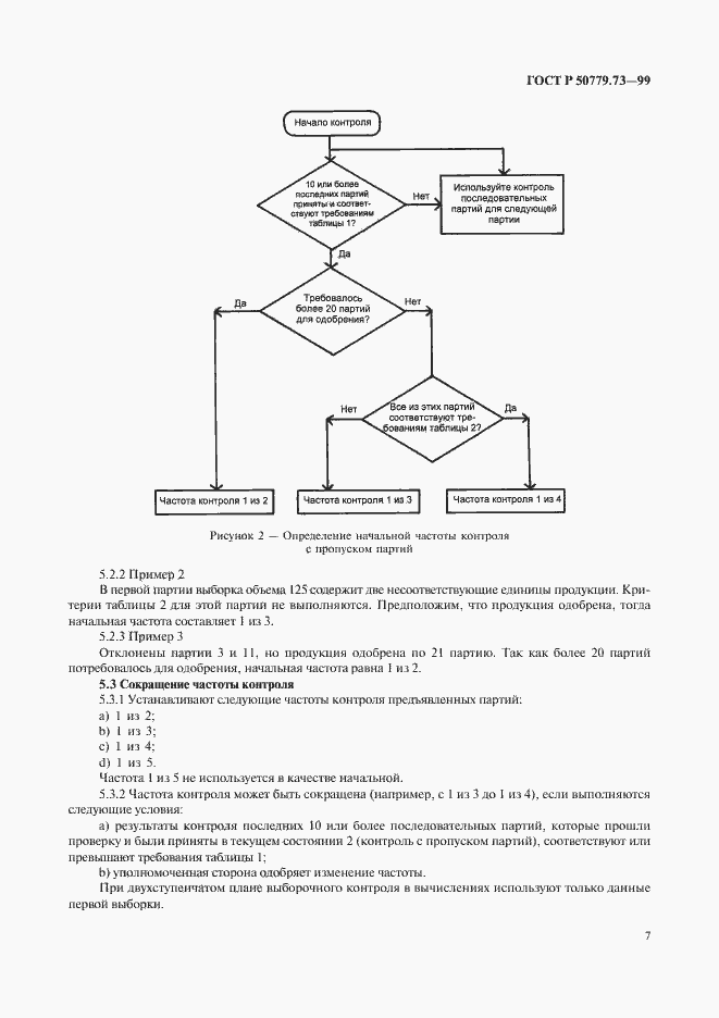
ГОСТ Р 50779.73-99 Статистические методы. Процедуры выборочного контроля по альтернативному признаку. Часть 3. Планы выборочного контроля с пропуском партий
ГОСТ Р
Скачать ГОСТ в PDF или DOC бесплатно
Основная информация
Обозначение:
ГОСТ Р 50779.73-99
Статус:
Заменен
Тип:
ГОСТ Р
Название русское:
Статистические методы. Процедуры выборочного контроля по альтернативному признаку. Часть 3. Планы выборочного контроля с пропуском партий
Название английское:
Statistical methods. Sampling procedures for inspection by attributes. Part 3. Skip-lot sampling procedures
Даты и сроки
Дата издания:
10-01-05
Дата введения в действие:
07-01-00
Дата завершения срока действия:
12-01-10
Применение и описание
Область и условия применения:
Настоящий стандарт устанавливает общие процедуры выборочного контроля по альтернативному признаку с пропуском партий для сокращения затрат на контроль, если поставщик продемонстрировал свою способность эффективно управлять всеми аспектами качества и систематически производить партии, соответствующие установленным требованиям. Сокращение затрат на контроль достигается путем отбора из предъявляемых на контроль партий по случайному признаку с заданной вероятностью партий, которые пройдут с контролем или без него
Связи и замены
Заменяющий:
ГОСТ Р ИСО 2859-3-2009
Описание стандарта
ГОСТ Р 50779.73-99 Статистические методы. Процедуры выборочного контроля по альтернативному признаку. Часть 3. Планы выборочного контроля с пропуском партий
Страницы стандарта















