ГОСТ 18242-72 Статистический приемочный контроль по альтернативному признаку. Планы контроля
ГОСТ
Скачать ГОСТ в PDF или DOC бесплатно
Основная информация
Обозначение:
ГОСТ 18242-72
Статус:
Утратил силу в РФ
Тип:
ГОСТ
Название русское:
Статистический приемочный контроль по альтернативному признаку. Планы контроля
Название английское:
Acceptance statistical inspection by attributes. Inspection plans
Даты и сроки
Дата издания:
12-01-81
Дата введения в действие:
01-01-74
Дата завершения срока действия:
07-01-00
Применение и описание
Область и условия применения:
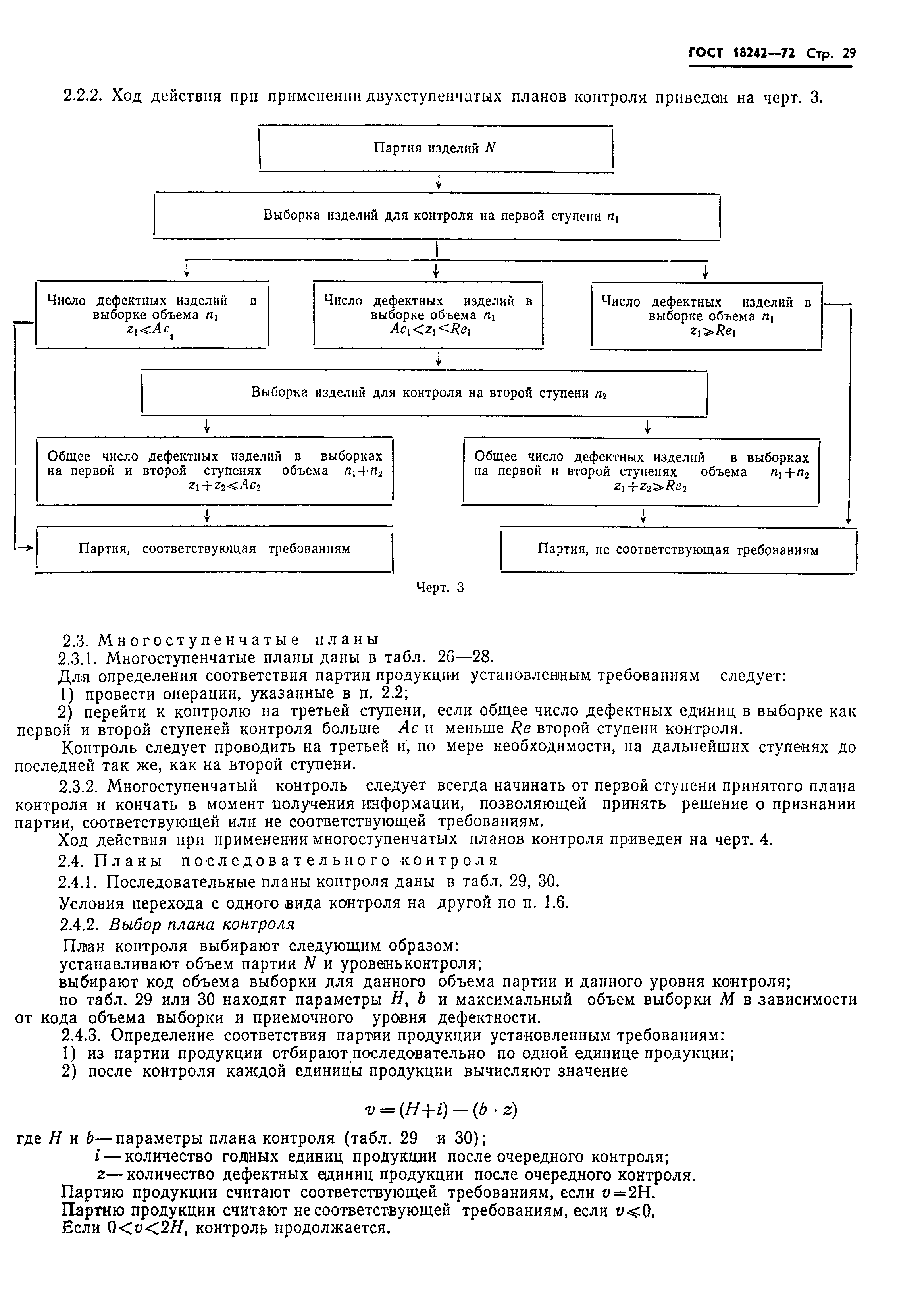
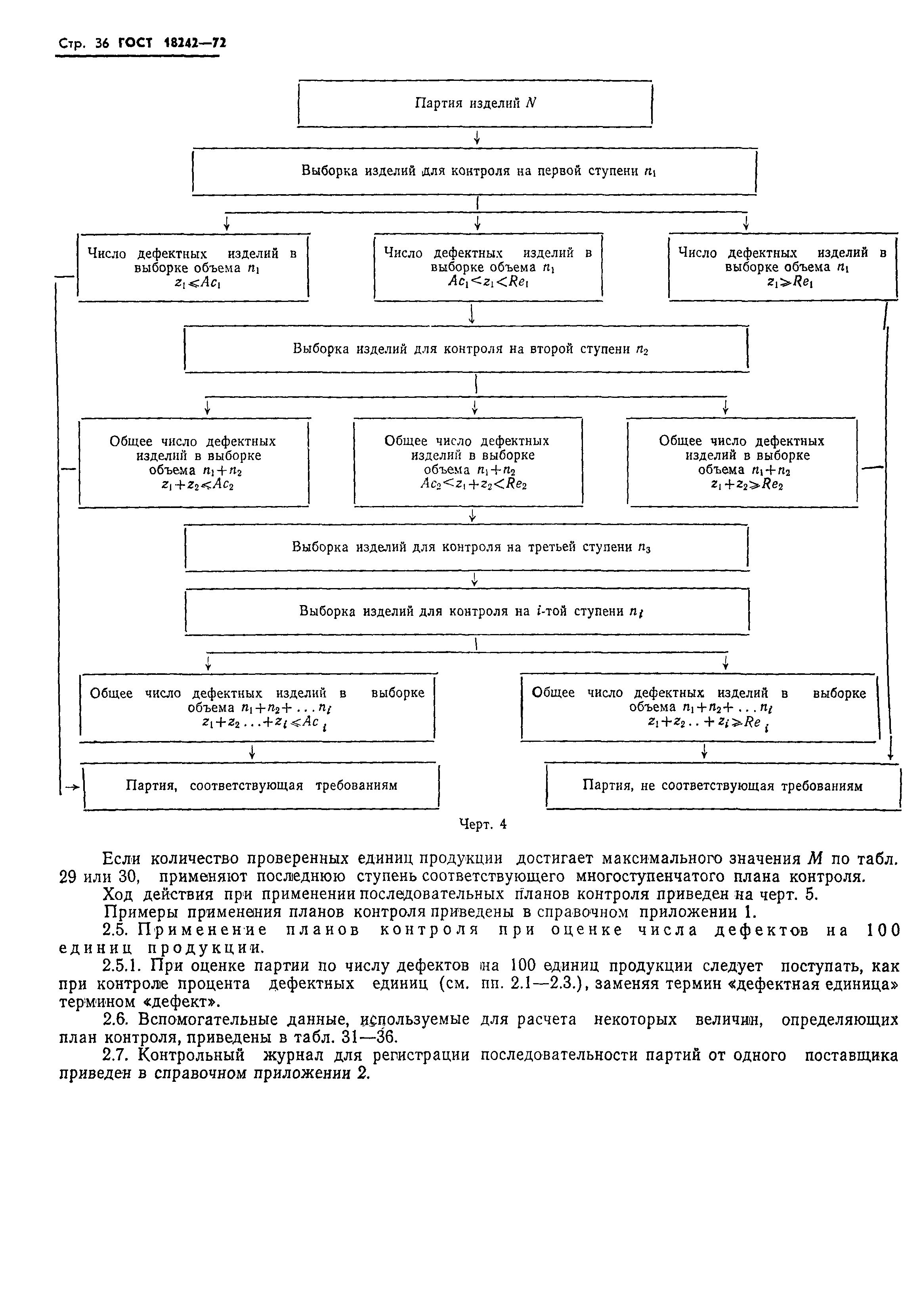
Настоящий стандарт устанавливает одноступенчатые, двухступенчатые, многоступенчатые и последовательные планы и порядок проведения статистического приемочного контроля качества продукции по альтернативному признаку для всех видов продукции производственно-технического назначения и товаров народного потребления, в том числе готовой продукции, полуфабрикатов, комплектующих изделий и материалов, поступающих на контроль в виде одиночных или последовательных партий
Связи и замены
Заменяющий:
-
Изменения и переиздания
Список изменений:
№0 от (рег. ) «Поправка к изменению» №1 от (рег. ) «Срок действия продлен»
Описание стандарта
ГОСТ 18242-72 Статистический приемочный контроль по альтернативному признаку. Планы контроля
Страницы стандарта



















































