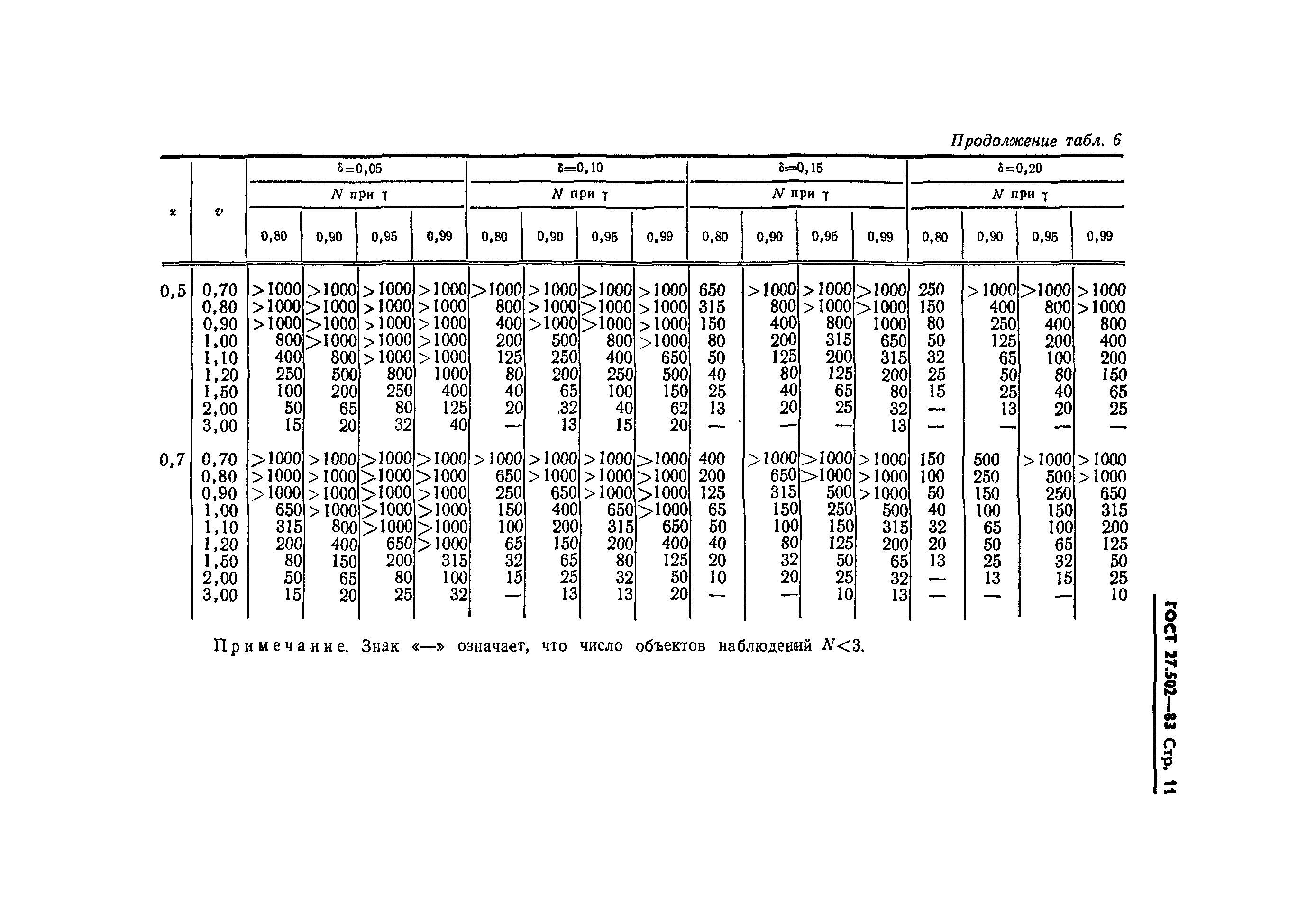
ГОСТ 27.502-83 Надежность в технике. Система сбора и обработки информации. Планирование наблюдений
ГОСТ
Скачать ГОСТ в PDF или DOC бесплатно
Основная информация
Обозначение:
ГОСТ 27.502-83
Статус:
утратил силу в РФ
Тип:
ГОСТ
Название русское:
Надежность в технике. Система сбора и обработки информации. Планирование наблюдений
Даты и сроки
Дата введения в действие:
01-01-82
Дата завершения срока действия:
01-01-91
Связи и замены
Заменяющий:
-
Описание стандарта
ГОСТ 27.502-83 Надежность в технике. Система сбора и обработки информации. Планирование наблюдений
Страницы стандарта

























