ГОСТ Р 27.015-2019 Надежность в технике. Управление надежностью. Руководство по проектированию надежности систем
ГОСТ Р
Скачать ГОСТ в PDF или DOC бесплатно
Основная информация
Обозначение:
ГОСТ Р 27.015-2019
Статус:
Действует
Тип:
ГОСТ Р
Название русское:
Надежность в технике. Управление надежностью. Руководство по проектированию надежности систем
Название английское:
Dependability in technics. Dependability management. Guide for engineering of system dependability
Даты и сроки
Дата издания:
12-23-19
Дата введения в действие:
07-01-20
Дата завершения срока действия:
-
Применение и описание
Область и условия применения:
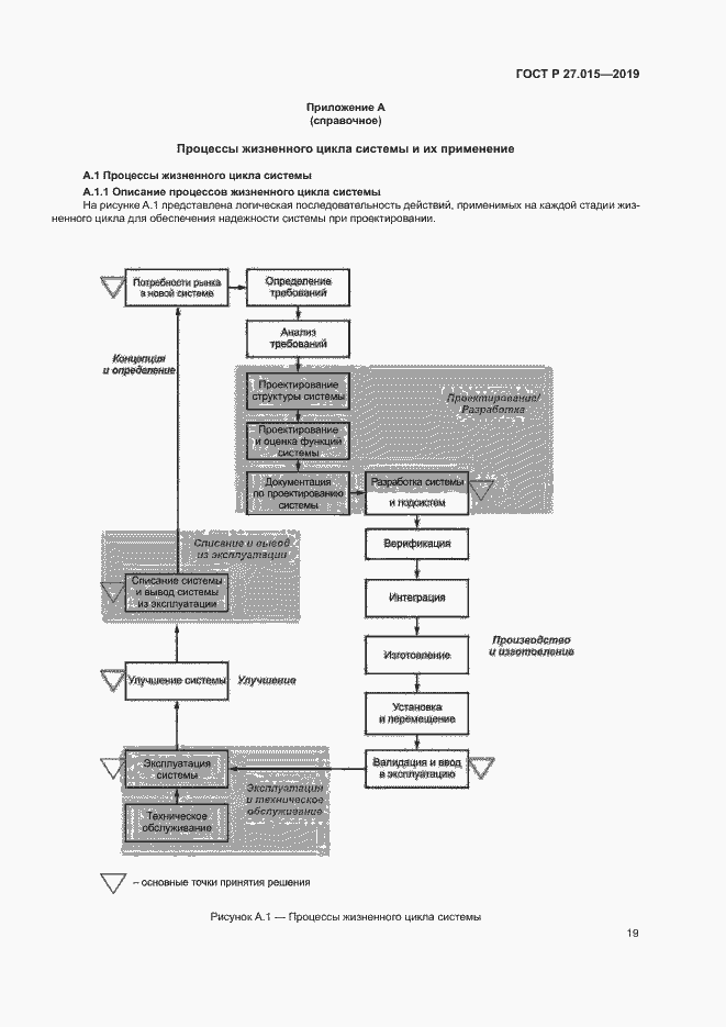
Настоящий стандарт представляет собой руководство по проектированию системы, устанавливающий процесс обеспечения надежности системы на стадиях жизненного цикла. Настоящий стандарт применим при разработке новой системы и для усовершенствования существующих систем, включающих взаимодействия аппаратных средств, программного обеспечения и человека
Связи и замены
Заменяющий:
-
Описание стандарта
ГОСТ Р 27.015-2019 Надежность в технике. Управление надежностью. Руководство по проектированию надежности систем
Страницы стандарта
















































