ГОСТ Р 27.011-2019 Надежность в технике. Вероятностный анализ риска технических систем. Оценка интенсивности конечного события для заданного исходного состояния
ГОСТ Р
Скачать ГОСТ в PDF или DOC бесплатно
Основная информация
Обозначение:
ГОСТ Р 27.011-2019
Статус:
Действует
Тип:
ГОСТ Р
Название русское:
Надежность в технике. Вероятностный анализ риска технических систем. Оценка интенсивности конечного события для заданного исходного состояния
Название английское:
Dependability in technics. Probablistic risk analysis of technological systems. Estimation of final event rate at a given initial state
Даты и сроки
Дата издания:
01-31-20
Дата введения в действие:
07-01-20
Дата завершения срока действия:
-
Применение и описание
Область и условия применения:
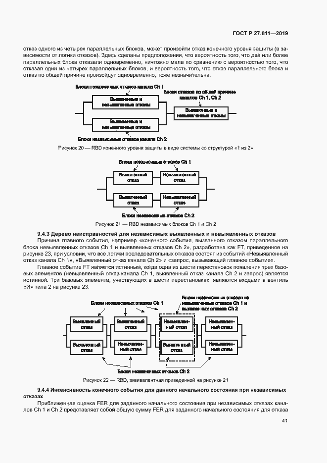
В настоящем стандарте приведены рекомендации по вероятностному анализу риска (далее – анализ риска) систем, состоящих из электротехнических объектов, применимых на производстве, где предусмотрено проведение анализа риска. Настоящий стандарт включает следующие аспекты анализа риска: - определение основных терминов и понятий; - установление типов событий; - классификация возникновения событий; - описание использования модифицированных обозначений и методов графического представления для ETA, FTA и марковских методов при применении модифицированных методов к сложным системам; - предполагаемые способы обработки частоты/интенсивности событий для сложных систем; - предполагаемые способы определения оценок частоты/интенсивности событий на основе мониторинга риска; - иллюстративные и практические примеры
Связи и замены
Заменяющий:
-
Описание стандарта
ГОСТ Р 27.011-2019 Надежность в технике. Вероятностный анализ риска технических систем. Оценка интенсивности конечного события для заданного исходного состояния
Страницы стандарта
































































