ГОСТ Р 51245-99 Трубы бурильные стальные универсальные. Общие технические условия
ГОСТ Р
Скачать ГОСТ в PDF или DOC бесплатно
Основная информация
Обозначение:
ГОСТ Р 51245-99
Статус:
Действует
Тип:
ГОСТ Р
Название русское:
Трубы бурильные стальные универсальные. Общие технические условия
Название английское:
Steel universal drill rods. General specifications
Даты и сроки
Дата издания:
03-04-99
Дата введения в действие:
01-01-00
Дата завершения срока действия:
-
Применение и описание
Область и условия применения:
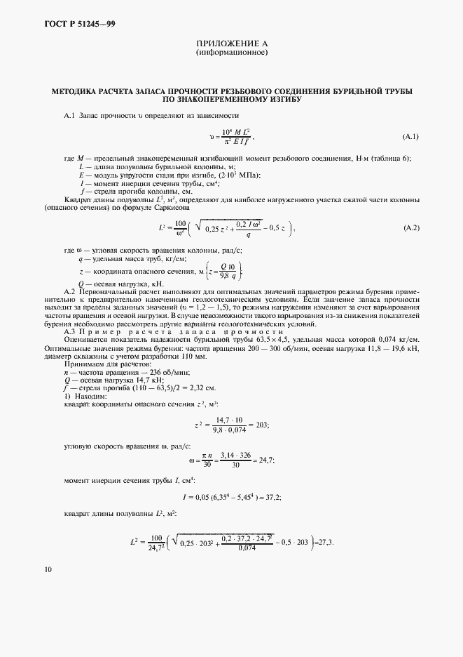
Настоящий стандарт распространяется на стальные бурильные трубы с приваренными замками для бурения скважин при поисках и разведке на твердые полезные ископаемые и воду, инженерно-геологических изысканиях, строительстве колонковым и бескерновым способом твердосплавными и алмазными коронками и долотами всех видов, в том числе с применением забойных гидро- и пневмоударников. Стандарт не распространяется на утяжеленные бурильные трубы, трубы для бурения со съемными керноприемниками и гидротранспортом керна. Трубы должны соответствовать требованиям настоящего стандарта и конструкторской документации, утвержденной в установленном порядке
Связи и замены
Заменяющий:
-
Описание стандарта
ГОСТ Р 51245-99 Трубы бурильные стальные универсальные. Общие технические условия
Страницы стандарта














