ГОСТ 30196-94 Головки колонные. Типы, основные параметры и присоединительные размеры
ГОСТ
Скачать ГОСТ в PDF или DOC бесплатно
Основная информация
Обозначение:
ГОСТ 30196-94
Статус:
Действует
Тип:
ГОСТ
Название русское:
Головки колонные. Типы, основные параметры и присоединительные размеры
Название английское:
Gasing heads. Standard schemes, basic parameters and connection sizes
Даты и сроки
Дата регистрации:
10-04-96
Дата издания:
07-07-99
Дата введения в действие:
01-01-00
Дата завершения срока действия:
-
Применение и описание
Область и условия применения:
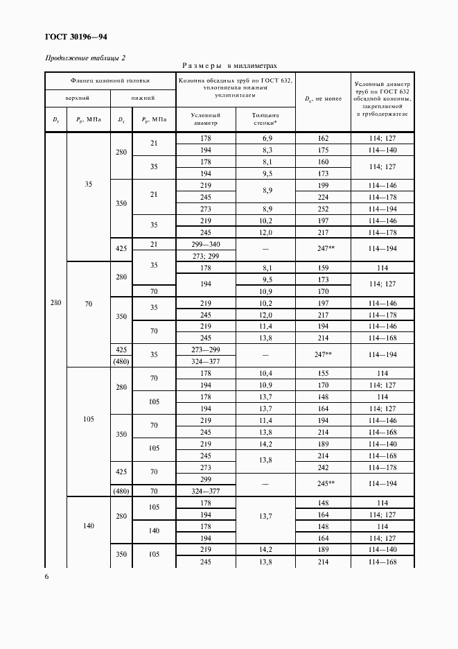
Настоящий стандарт распространяется на колонные головки - составные части устьевых колонных обвязок нефтяных и газовых скважин Требования настоящего стандарта гармонизированы со стандартом Американского Нефтяного Института (США) API Spec 6A. Объем гармонизации требований стандарта приведен в приложении А. Стандарт пригоден для целей сертификации
Связи и замены
Заменяющий:
-
Взамен:
СТ СЭВ 4353-83
Описание стандарта
ГОСТ 30196-94 Головки колонные. Типы, основные параметры и присоединительные размеры
Страницы стандарта


















