ГОСТ 17310-2002 Газы. Пикнометрический метод определения плотности
ГОСТ
Скачать ГОСТ в PDF или DOC бесплатно
Основная информация
Обозначение:
ГОСТ 17310-2002
Статус:
Действует
Тип:
ГОСТ
Название русское:
Газы. Пикнометрический метод определения плотности
Название английское:
Gases. Picknometric method for determination of density
Даты и сроки
Дата регистрации:
11-06-02
Дата издания:
04-07-03
Дата введения в действие:
01-01-04
Дата завершения срока действия:
-
Применение и описание
Область и условия применения:
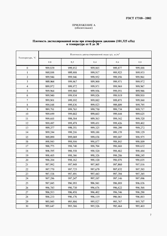
Настоящий стандарт устанавливает пикнометрический метод определения плотности и относительной плотности газов и газовых смесей, которые в условиях опыта не изменяют своего состава. Стандарт не распространяется на газы, насыщенные влагой, температура которых выше 40 град. C. Сущность метода заключается во взвешивании стеклянного пикнометра последовательно с осушенным воздухом и осушенным газом при одинаковой температуре и давлении
Связи и замены
Заменяющий:
-
Взамен:
ГОСТ 17310-86
Изменения и переиздания
Список изменений:
№0 от (рег. ) «Дата введения перенесена»
Описание стандарта
ГОСТ 17310-2002 Газы. Пикнометрический метод определения плотности
Страницы стандарта

















Приложение №1: Поправка к ГОСТ 17310-2002 Обозначение: Поправка к ГОСТ 17310-2002 Дата введения в действие: 20.02.2016
