ГОСТ Р 57851.2-2017 Смесь газоконденсатная. Часть 2. Конденсат газовый нестабильный. Определение компонентно-фракционного состава методом газовой хроматографии с предварительным разгазированием пробы
ГОСТ Р
Скачать ГОСТ в PDF или DOC бесплатно
Основная информация
Обозначение:
ГОСТ Р 57851.2-2017
Статус:
Действует
Тип:
ГОСТ Р
Название русское:
Смесь газоконденсатная. Часть 2. Конденсат газовый нестабильный. Определение компонентно-фракционного состава методом газовой хроматографии с предварительным разгазированием пробы
Название английское:
Gas-condensate mixture. Part 2. Unstable gas condensate. Compositional analysis by gas chromatography method with preliminary sample degasification
Даты и сроки
Дата издания:
12-05-17
Дата введения в действие:
01-01-19
Дата завершения срока действия:
-
Применение и описание
Область и условия применения:
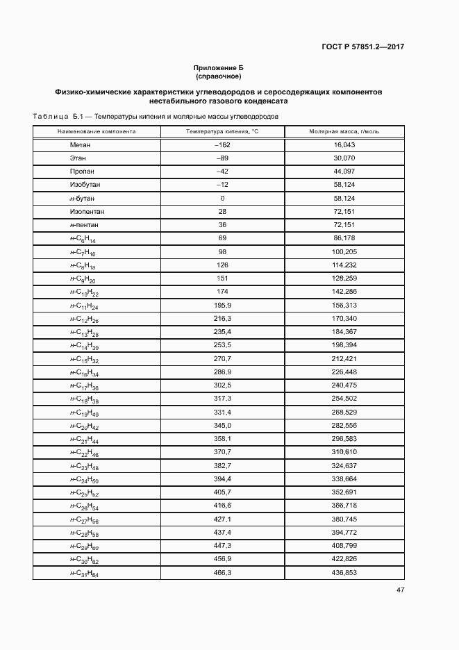
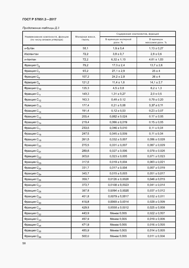
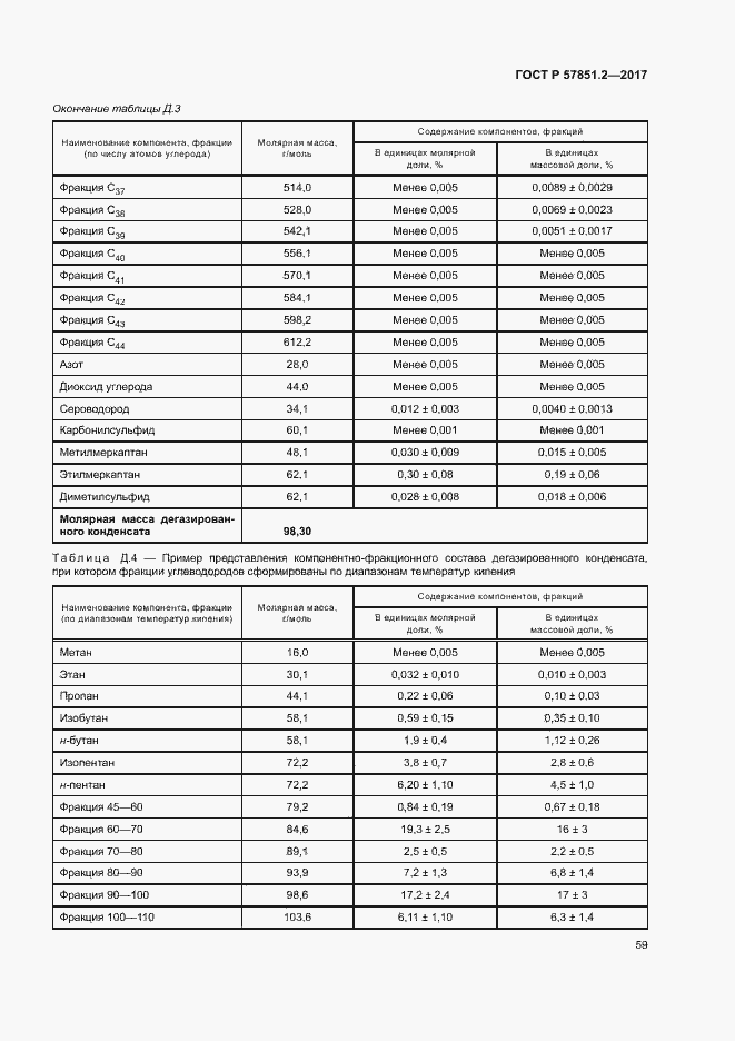
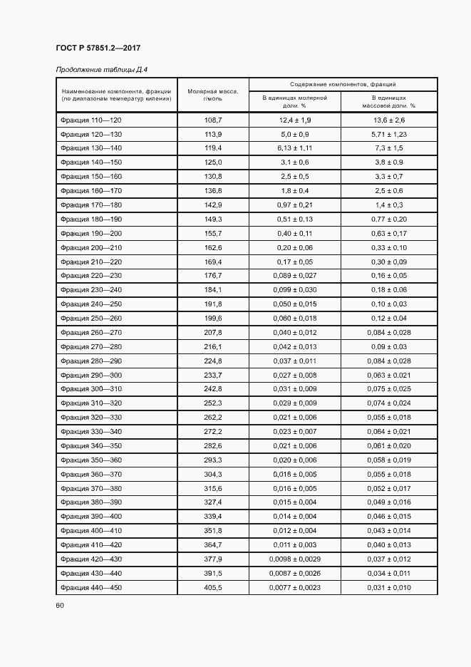
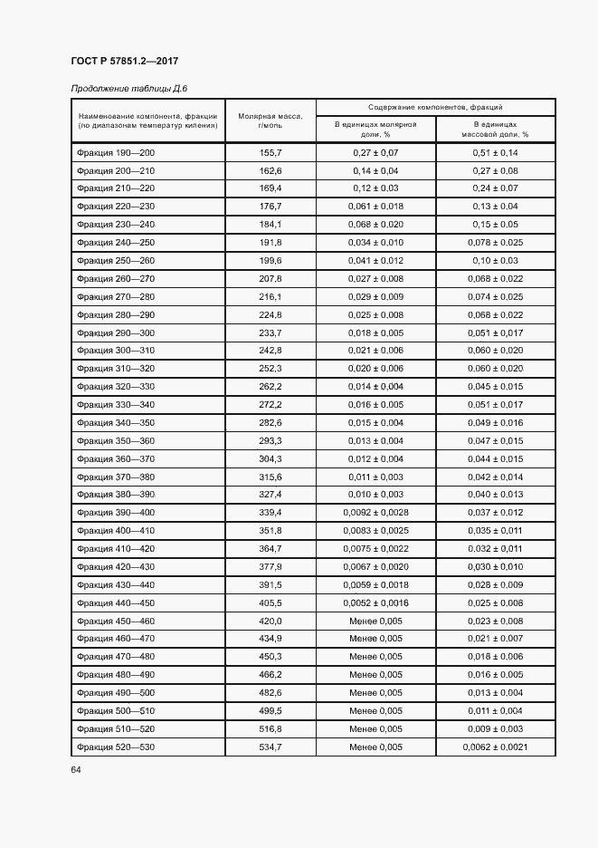
Настоящий стандарт устанавливает определение молярной и массовой долей индивидуальных компонентов и фракций нестабильного газового конденсата, основанное на предварительном разгазировании пробы (далее - дегазации), анализе состава газовой фракции (газ дегазации) и жидкой фракции (дегазированный конденсат) хроматографическим методом и последующем объединении полученных результатов
Связи и замены
Заменяющий:
-
Описание стандарта
ГОСТ Р 57851.2-2017 Смесь газоконденсатная. Часть 2. Конденсат газовый нестабильный. Определение компонентно-фракционного состава методом газовой хроматографии с предварительным разгазированием пробы
Страницы стандарта





































































