ГОСТ Р 57851.3-2017 Смесь газоконденсатная. Часть 3. Конденсат газовый нестабильный. Определение компонентно-фракционного состава методом газовой хроматографии без предварительного разгазирования пробы
ГОСТ Р
Скачать ГОСТ в PDF или DOC бесплатно
Основная информация
Обозначение:
ГОСТ Р 57851.3-2017
Статус:
Действует
Тип:
ГОСТ Р
Название русское:
Смесь газоконденсатная. Часть 3. Конденсат газовый нестабильный. Определение компонентно-фракционного состава методом газовой хроматографии без предварительного разгазирования пробы
Название английское:
Gas-condensate mixture. Part 3. Unstable gas condensate. Compositional analysis by gas chromatography method without preliminary sample degasification
Даты и сроки
Дата издания:
12-04-17
Дата введения в действие:
01-01-19
Дата завершения срока действия:
-
Применение и описание
Область и условия применения:
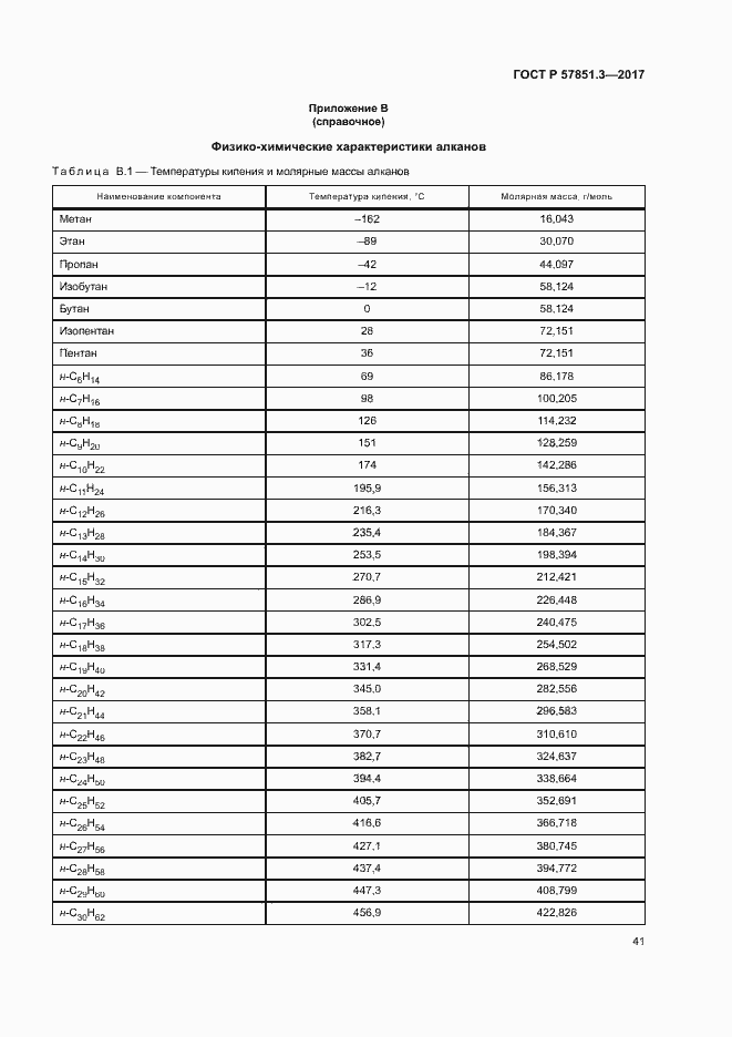
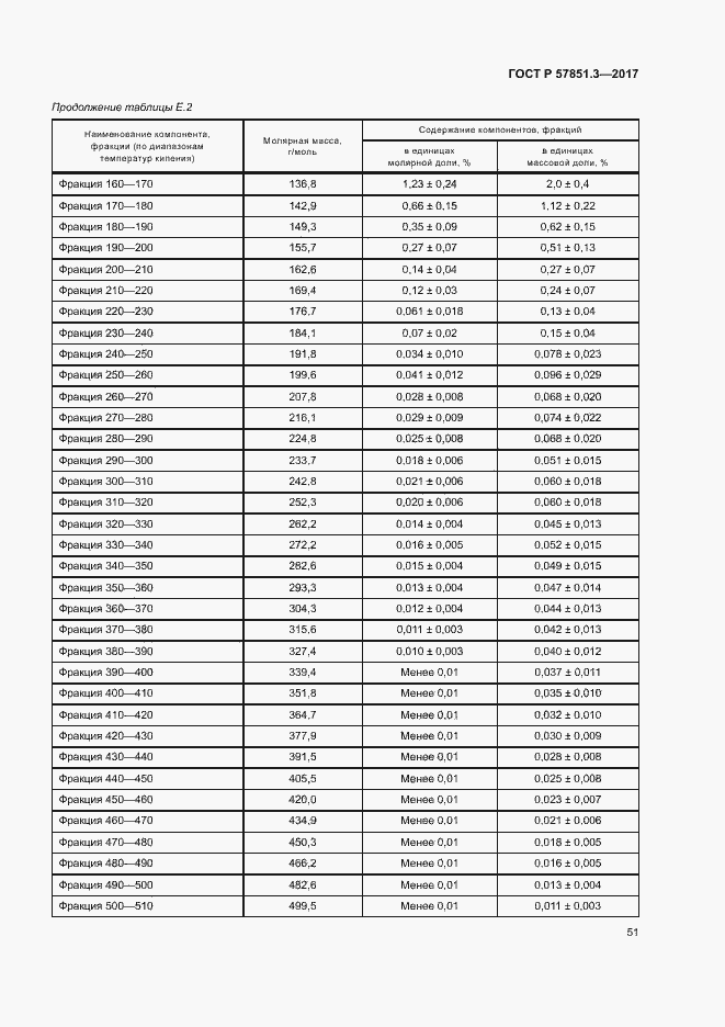
Настоящий стандарт устанавливает определение молярной и массовой долей неуглеводородных компонентов (азота, диоксида углерода), индивидуальных углеводородов от С1 до н-С5, фракций углеводородов от С6 до С44 (или до С12+высшие), метанола, серосодержащих соединений (сероводорода, карбонилсульфида, дисульфида углерода, индивидуальных меркаптанов С1 - С4, сульфидов, производных тиофена) в пробе нестабильного газового конденсата методом газовой хроматографии в диапазонах, приведенных в таблице 1. Метод применяют для определения компонентно-фракционного состава проб нестабильного газового конденсата в одну стадию без их предварительного разгазирования прямым вводом пробы в хроматограф под давлением. Метод используют в аналитических (испытательных) лабораториях и узлах измерений количества нестабильного газового конденсата предприятий и организаций по добыче и переработке сырья газоконденсатных и нефтегазоконденсатных месторождений, контролирующих физико-химические свойства нестабильного газового конденсата для целей учета и анализа показателей разработки месторождений, планирования добычи и переработки углеводородного сырья
Связи и замены
Заменяющий:
-
Описание стандарта
ГОСТ Р 57851.3-2017 Смесь газоконденсатная. Часть 3. Конденсат газовый нестабильный. Определение компонентно-фракционного состава методом газовой хроматографии без предварительного разгазирования пробы
Страницы стандарта

























































