ГОСТ Р 57851.4-2017 Смесь газоконденсатная. Часть 4. Расчет компонентно-фракционного состава
ГОСТ Р
Скачать ГОСТ в PDF или DOC бесплатно
Основная информация
Обозначение:
ГОСТ Р 57851.4-2017
Статус:
Действует
Тип:
ГОСТ Р
Название русское:
Смесь газоконденсатная. Часть 4. Расчет компонентно-фракционного состава
Название английское:
Gas-condensate mixture. Part 4. Calculation of the component-fraction composition
Даты и сроки
Дата издания:
12-13-17
Дата введения в действие:
01-01-19
Дата завершения срока действия:
-
Применение и описание
Область и условия применения:
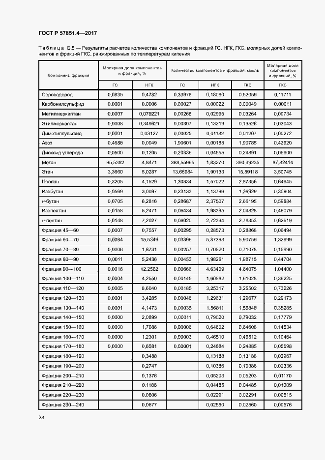
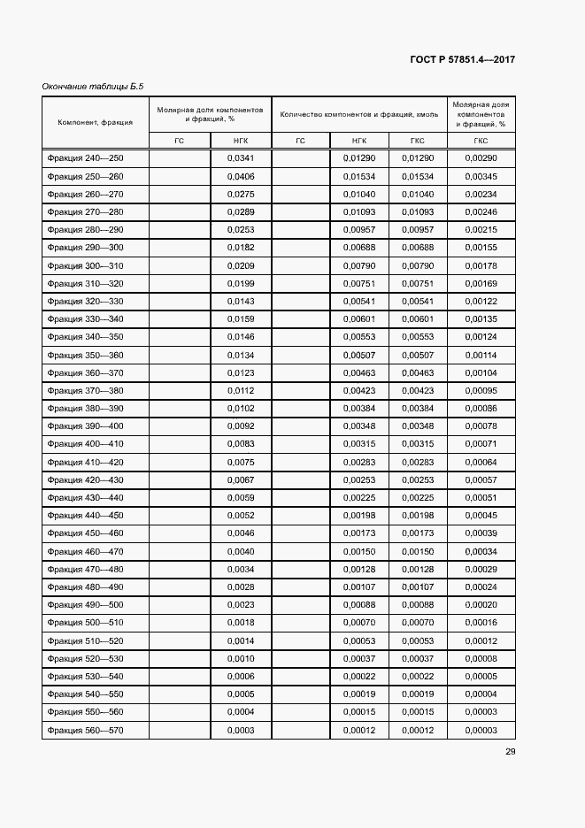
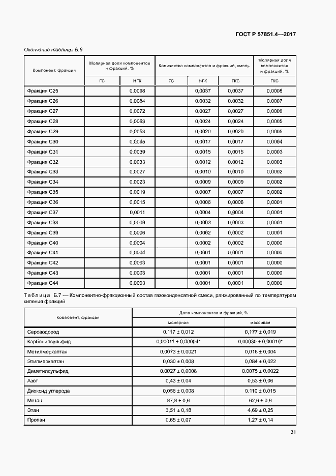
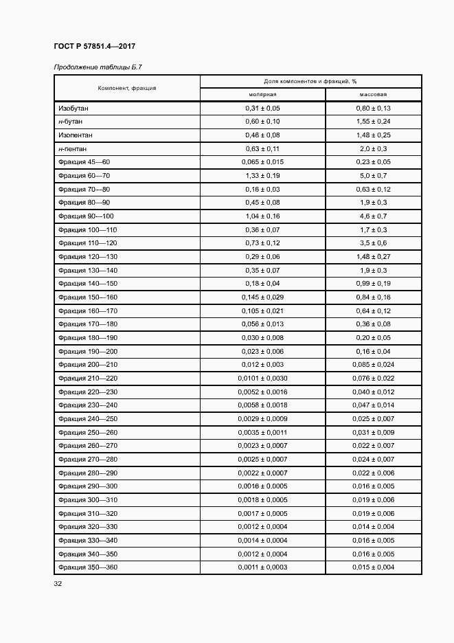
Настоящий стандарт устанавливает метод расчета компонентно-фракционного состава газоконденсатной смеси на основе результатов экспериментального определения компонентно-фракционного состава газа сепарации и нестабильного газового конденсата. Метод используют в аналитических (испытательных) лабораториях нефте- и газодобывающих, нефте- и газоперерабатывающих предприятий и организаций, осуществляющих расчет компонентно-фракционного состава добываемой газоконденсатной смеси по результатам газоконденсатных исследований скважин и исследований продуктов промысловой подготовки газа и газового конденсата, для научно-исследовательских целей, анализа показателей разработки месторождений, планирования и оптимизации процессов добычи, подготовки и переработки углеводородного сырья. Метод не предназначен для использования в сфере государственного регулирования обеспечения единства измерений при операциях коммерческого учета и подсчета запасов природного газа и газового конденсата
Связи и замены
Заменяющий:
-
Описание стандарта
ГОСТ Р 57851.4-2017 Смесь газоконденсатная. Часть 4. Расчет компонентно-фракционного состава
Страницы стандарта

















































