ГОСТ 22387.2-2021 Газ природный. Методы определения сероводорода и меркаптановой серы
ГОСТ
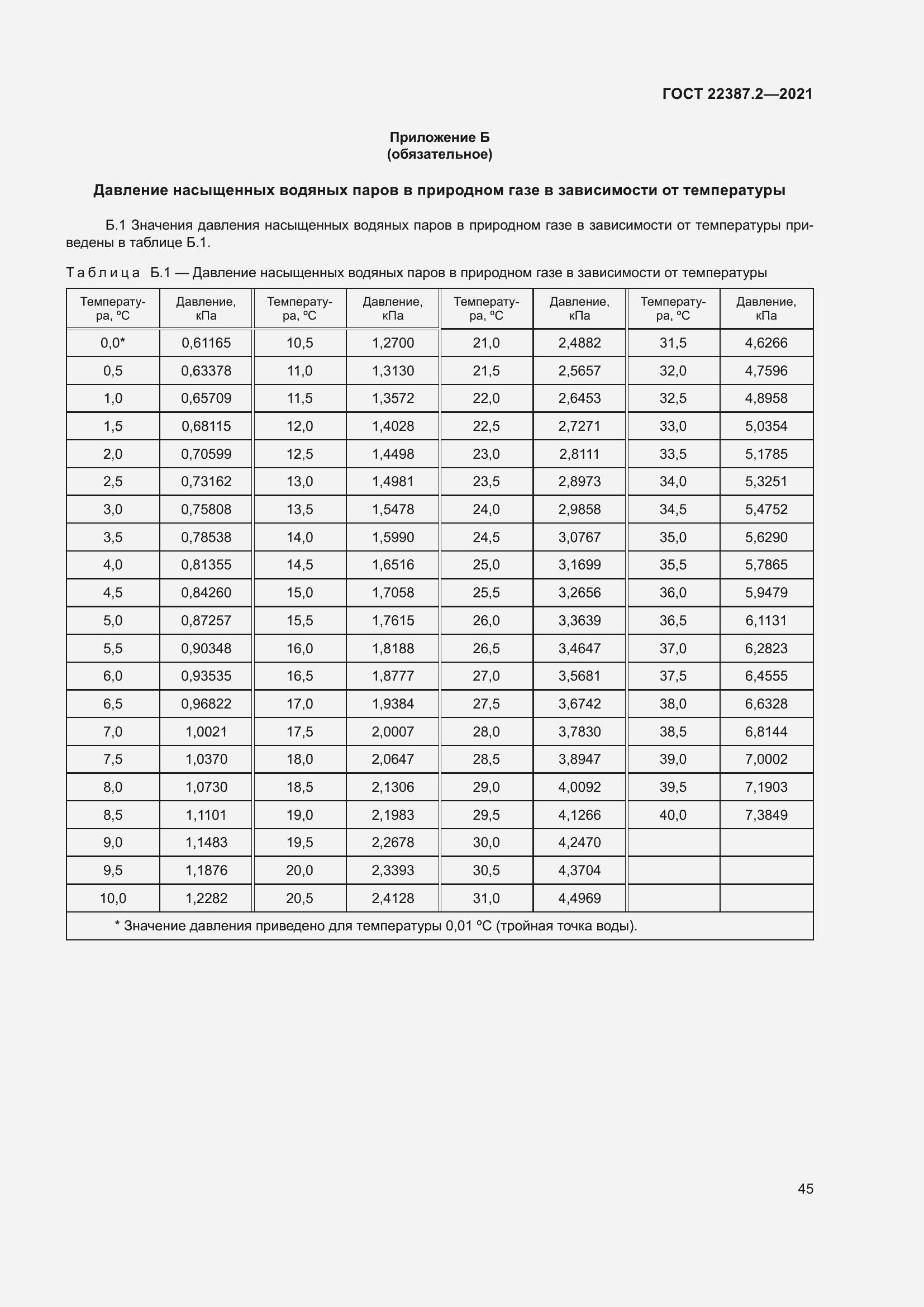
Скачать ГОСТ в PDF или DOC бесплатно
Основная информация
Обозначение:
ГОСТ 22387.2-2021
Статус:
Действует
Тип:
ГОСТ
Название русское:
Газ природный. Методы определения сероводорода и меркаптановой серы
Название английское:
Natural gas. Methods for determination of hydrogen sulphide and mercaptan sulphur
Даты и сроки
Дата регистрации:
08-26-21
Дата издания:
12-20-21
Дата введения в действие:
07-01-22
Дата завершения срока действия:
-
Применение и описание
Область и условия применения:
Настоящий стандарт устанавливает методы определения сероводорода и меркаптановой серы в природном газе: - фотоколориметрический – при значениях массовой концентрации сероводорода в диапазоне от 1,0•10-3 до 5,0•10-2 г/м3 и меркаптановой серы в диапазоне от 1,0•10-3 до 2,5•10-1 г/м3; - потенциометрический – при значениях массовой концентрации сероводорода и меркаптановой серы в диапазоне от 1,0•10-3 до 5,0•10-1 г/м3; - йодометрический – при значениях массовой концентрации сероводорода в диапазоне от 1,0•10-2 до 150,0 г/м3 и меркаптановой серы в диапазоне от 1,0•10-2 до 1,0 г/м3
Связи и замены
Заменяющий:
-
Взамен:
ГОСТ 22387.2-2014
Описание стандарта
ГОСТ 22387.2-2021 Газ природный. Методы определения сероводорода и меркаптановой серы
Страницы стандарта
























































Приложение №1: Поправка к ГОСТ 22387.2-2021 Обозначение: Поправка к ГОСТ 22387.2-2021 Дата введения в действие: 05.08.2022

Приложение №2: Поправка к ГОСТ 22387.2-2021 Обозначение: Поправка к ГОСТ 22387.2-2021 Дата введения в действие: 18.05.2023
