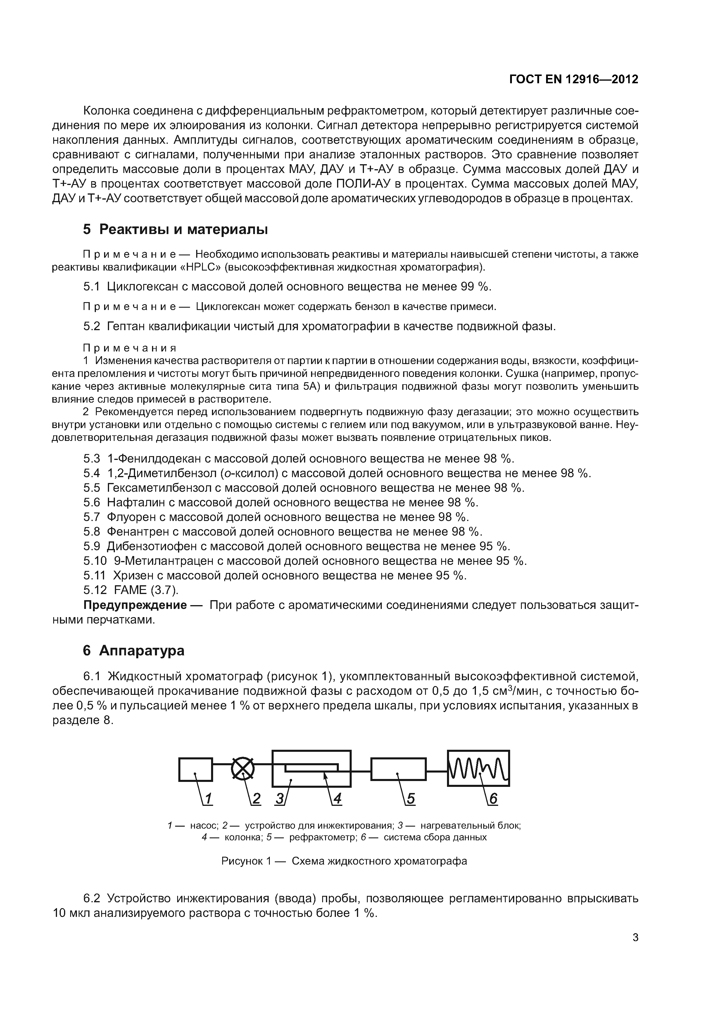
ГОСТ EN 12916-2012 Нефтепродукты. Определение типов ароматических углеводородов в средних дистиллятах. Метод высокоэффективной жидкостной хроматографии с детектированием по коэффициенту рефракции
ГОСТ ЕН
Скачать ГОСТ в PDF или DOC бесплатно
Основная информация
Обозначение:
ГОСТ EN 12916-2012
Статус:
Действует
Тип:
ГОСТ ЕН
Название русское:
Нефтепродукты. Определение типов ароматических углеводородов в средних дистиллятах. Метод высокоэффективной жидкостной хроматографии с детектированием по коэффициенту рефракции
Название английское:
Petroleum products. Determination of aromatic hydrocarbon types in middle distillates. Нigh performance liquid chromatography method with refractive index detection
Даты и сроки
Дата регистрации:
05-24-12
Дата издания:
10-25-20
Дата введения в действие:
07-01-14
Дата завершения срока действия:
-
Применение и описание
Область и условия применения:
Настоящий стандарт распространяется на дизельные топлива, которые могут содержать не более 5 % об. сложных метиловых эфиров жирных кислот (FAME) и нефтяные дистилляты диапазоном кипения от 150 °С до 400 °С и устанавливает метод определения массовой доли моноароматических, диароматических и три+-ароматических углеводородов высокоэффективной жидкостной хроматографией с детектированием по коэффициенту рефракции
Связи и замены
Заменяющий:
-
Описание стандарта
ГОСТ EN 12916-2012 Нефтепродукты. Определение типов ароматических углеводородов в средних дистиллятах. Метод высокоэффективной жидкостной хроматографии с детектированием по коэффициенту рефракции
Страницы стандарта


















