ГОСТ 15156-84 Масла, смазки и специальные жидкости, применяемые в технических изделиях для районов с тропическим климатом
ГОСТ
Скачать ГОСТ в PDF или DOC бесплатно
Основная информация
Обозначение:
ГОСТ 15156-84
Статус:
Действует
Тип:
ГОСТ
Название русское:
Масла, смазки и специальные жидкости, применяемые в технических изделиях для районов с тропическим климатом
Название английское:
Lubricating oils, lubricants and special liquids for industrial use in tropical climate regions
Даты и сроки
Дата издания:
07-28-11
Дата введения в действие:
06-30-85
Дата завершения срока действия:
-
Применение и описание
Область и условия применения:
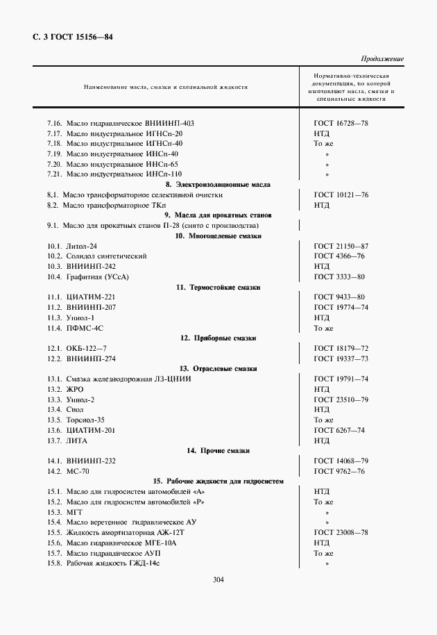
Настоящий стандарт распространяется на масла, смазки и специальные жидкости, применяемые в технических изделиях, поставляемых в районы с тропическим климатом по ГОСТ 15151-69, и определяет их перечень. Стандарт не распространяется на консервационные масла и смазки; на смазочные материалы, применяемые в оптических приборах, авиационной и военной технике; на смазочные материалы, не сменяемые и не пополняемые в процессе хранения, транспортирования и эксплуатации
Связи и замены
Заменяющий:
-
Взамен:
ГОСТ 15156-69
Описание стандарта
ГОСТ 15156-84 Масла, смазки и специальные жидкости, применяемые в технических изделиях для районов с тропическим климатом
Страницы стандарта







