ГОСТ EN 12766-2-2014 Нефтепродукты и отработанные масла. Определение полихлорированных бифенилов (PCB) и родственных соединений. Часть 2. Определение содержания PCB
ГОСТ ЕН
Скачать ГОСТ в PDF или DOC бесплатно
Основная информация
Обозначение:
ГОСТ EN 12766-2-2014
Статус:
Действует
Тип:
ГОСТ ЕН
Название русское:
Нефтепродукты и отработанные масла. Определение полихлорированных бифенилов (PCB) и родственных соединений. Часть 2. Определение содержания PCB
Название английское:
Petroleum products and used oils. Determination of polychlorinated biphenyls (PCB) and related products. Part 2. Determination of PCB content
Даты и сроки
Дата регистрации:
11-14-14
Дата издания:
09-09-19
Дата введения в действие:
07-01-16
Дата завершения срока действия:
-
Применение и описание
Область и условия применения:
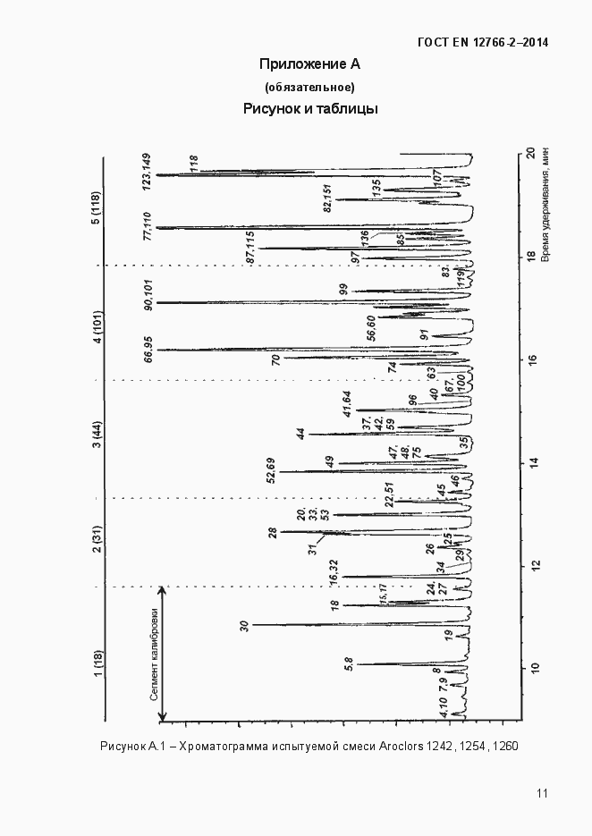
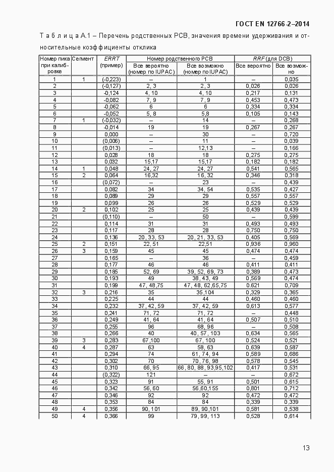
Настоящий стандарт устанавливает два метода (метод А и метод B) определения содержания полихлорированных бифенилов (PCB). Основой для количественного определения содержания PCB методом настоящего стандарта являются результаты хроматографирования по EN 12766-1, в котором приведены все необходимые экспериментальные процедуры для конкретного анализа неиспользованных, отработанных и обработанных (например, дехлорированных) нефтепродуктов, в том числе синтетических смазочных масел и смесей растительных масел
Связи и замены
Заменяющий:
-
Описание стандарта
ГОСТ EN 12766-2-2014 Нефтепродукты и отработанные масла. Определение полихлорированных бифенилов (PCB) и родственных соединений. Часть 2. Определение содержания PCB
Страницы стандарта



























