ГОСТ EN 12766-3-2014 Нефтепродукты и отработанные масла. Определение полихлорированных бифенилов (PCB) и родственных соединений. Часть 3. Определение и вычисление содержания полихлорированных терфенилов (PCТ) и полихлорированных бензилтолуолов (PCBT) методом газовой хроматографии (GC) с использованием электронозахватного детектора (ECD)
ГОСТ ЕН
Скачать ГОСТ в PDF или DOC бесплатно
Основная информация
Обозначение:
ГОСТ EN 12766-3-2014
Статус:
Действует
Тип:
ГОСТ ЕН
Название русское:
Нефтепродукты и отработанные масла. Определение полихлорированных бифенилов (PCB) и родственных соединений. Часть 3. Определение и вычисление содержания полихлорированных терфенилов (PCТ) и полихлорированных бензилтолуолов (PCBT) методом газовой хроматографии (GC) с использованием электронозахватного детектора (ECD)
Название английское:
Petroleum products and used oils. Determination of polychlorinated biphenyls (PCB) and related products. Part 3. Determination and quantification of polychlorinated terphenyls (PCT) and polychlorinated benzyl toluenes (PCBT) content by gas chromatography (GC) using an electron capture detector (ECD)
Даты и сроки
Дата регистрации:
11-14-14
Дата издания:
09-18-19
Дата введения в действие:
07-01-16
Дата завершения срока действия:
-
Применение и описание
Область и условия применения:
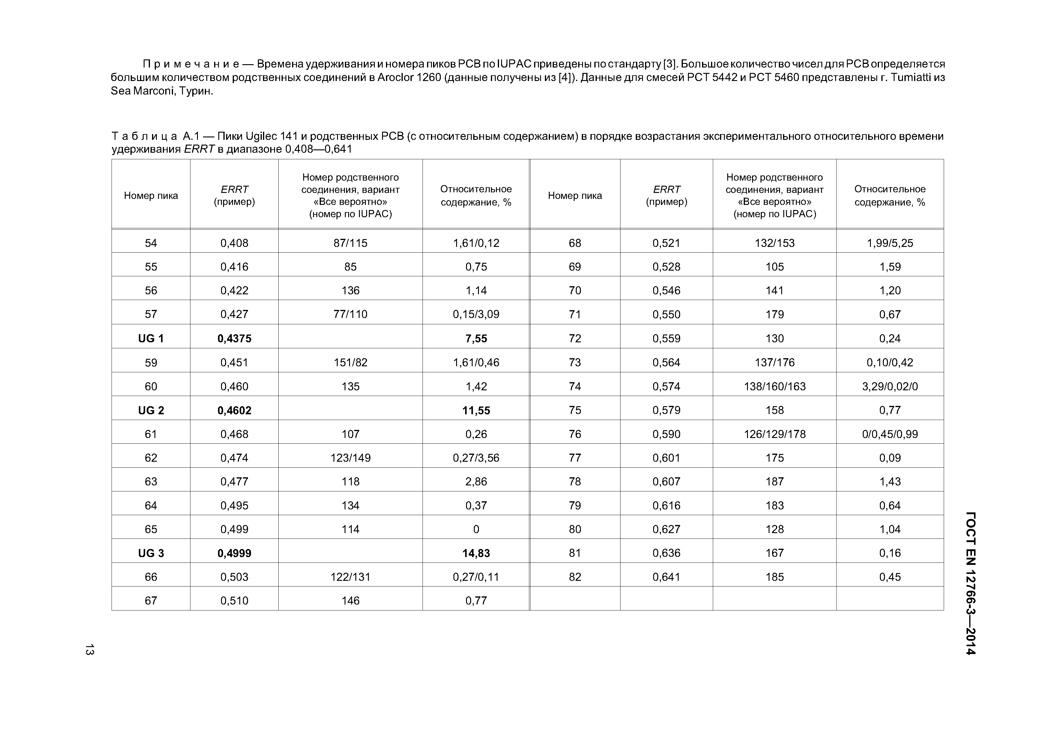
Настоящий стандарт устанавливает метод определения содержания полихлорированных терфенилов (РСТ) и полихлорированных бензилтолуолов (PCBT) в нефтепродуктах и аналогичных материалах стандартным разделением с помощью газовой хроматографии. Для количественного определения РСТ после хроматографического разделения используют промышленные смеси Aroclor 5442 и Aroclor 5460, для определения PCBT - Ugilec 141. Настоящий стандарт распространяется на нефтяные неиспользованные, отработанные и подвергнутые обработке (например, дехлорированию) масла, а также синтетические смазочные масла и нефтяные и синтетические смазочные масла, восстановленные с использованием соответствующих процедур из других материалов, например из отходов, а также на смеси растительных масел
Связи и замены
Заменяющий:
-
Описание стандарта
ГОСТ EN 12766-3-2014 Нефтепродукты и отработанные масла. Определение полихлорированных бифенилов (PCB) и родственных соединений. Часть 3. Определение и вычисление содержания полихлорированных терфенилов (PCТ) и полихлорированных бензилтолуолов (PCBT) методом газовой хроматографии (GC) с использованием электронозахватного детектора (ECD)
Страницы стандарта























