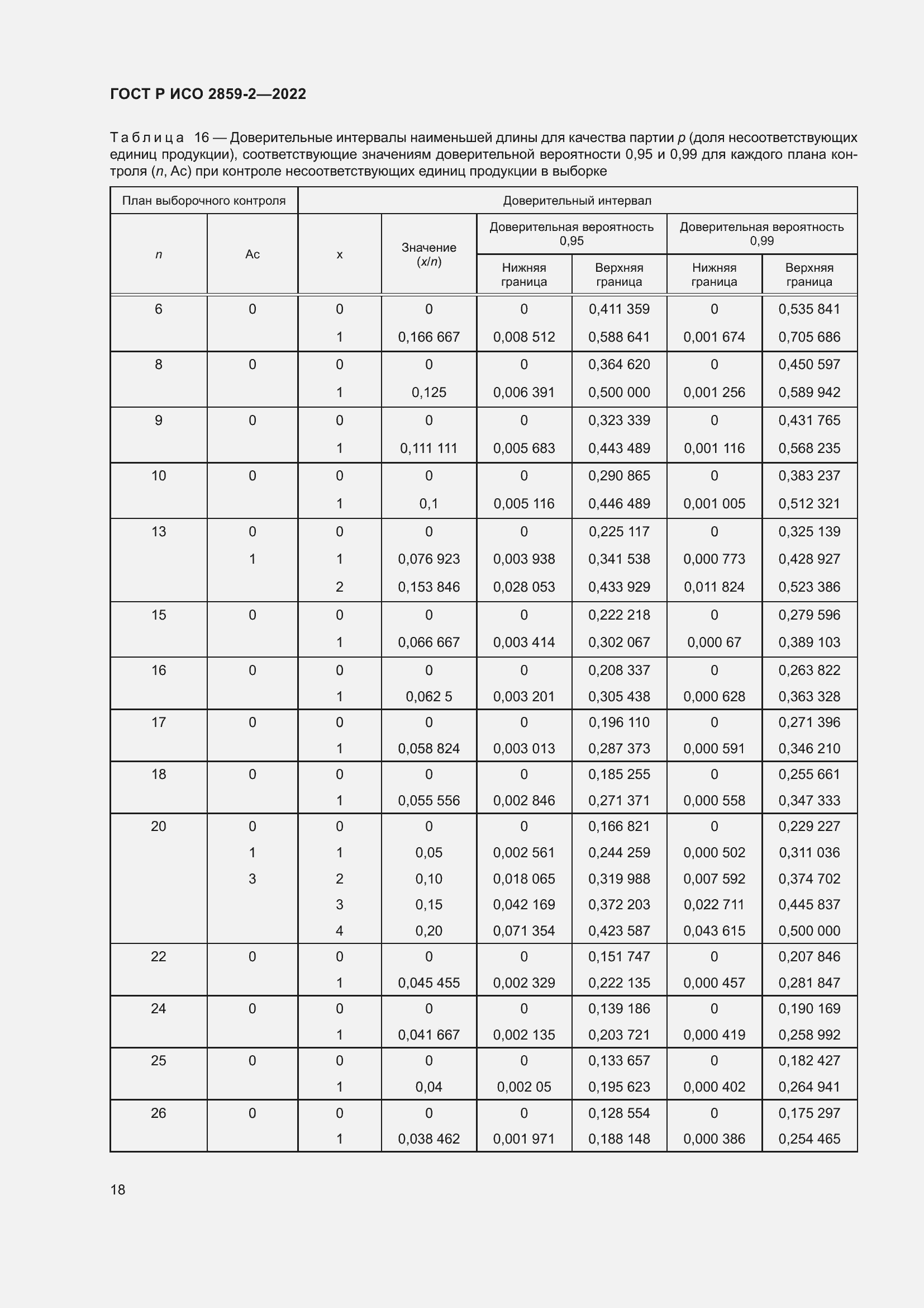
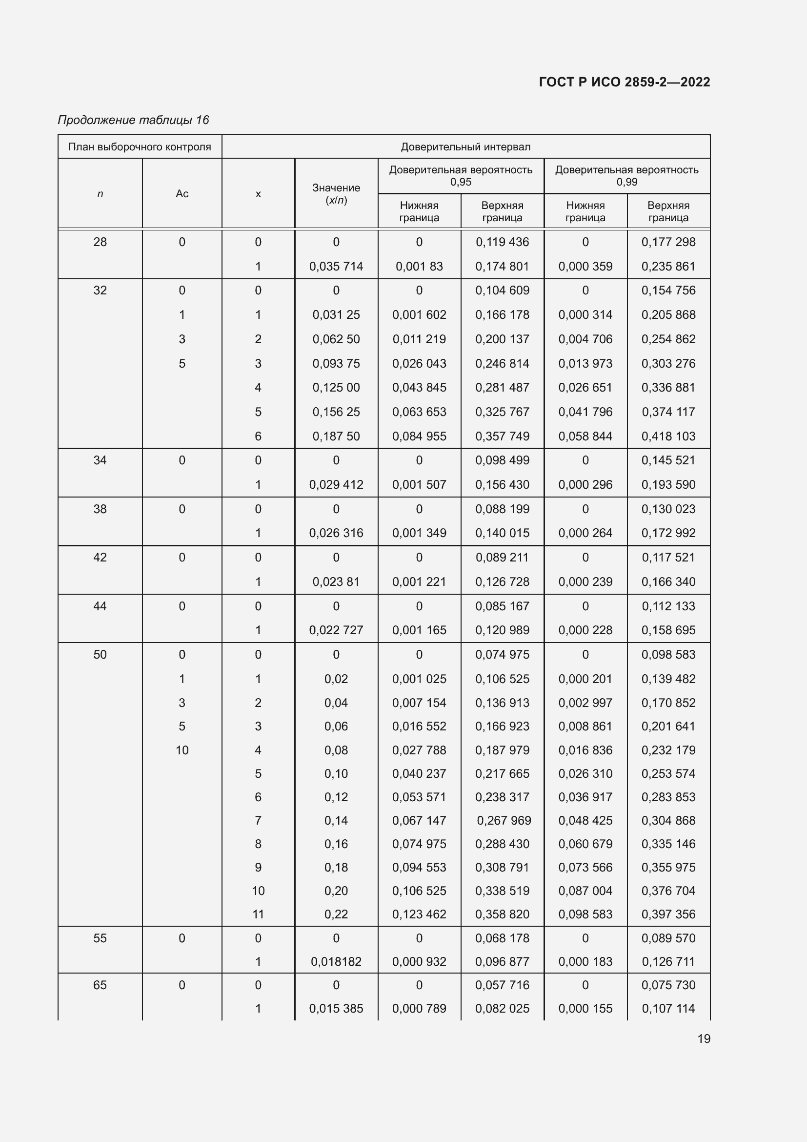
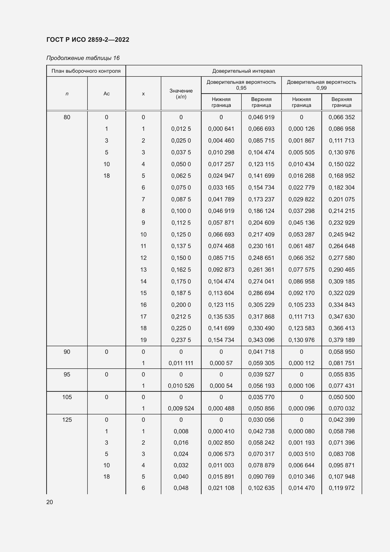
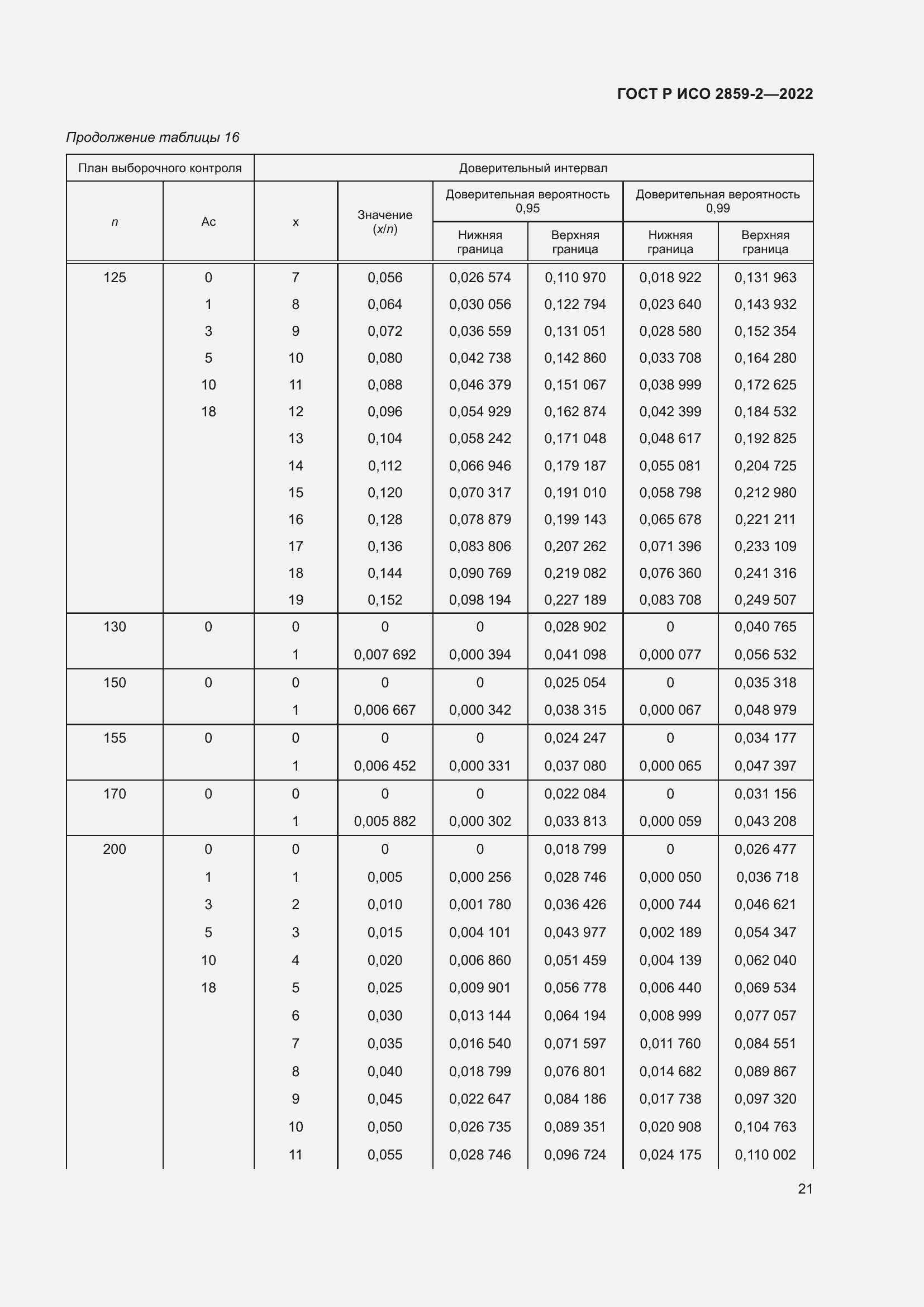
ГОСТ Р ИСО 2859-2-2022 Статистические методы. Процедуры выборочного контроля по альтернативному признаку. Часть 2. Планы выборочного контроля отдельных партий на основе предельного качества LQ
ГОСТ Р ИСО
Скачать ГОСТ в PDF или DOC бесплатно
Основная информация
Обозначение:
ГОСТ Р ИСО 2859-2-2022
Статус:
Действует
Тип:
ГОСТ Р ИСО
Название русское:
Статистические методы. Процедуры выборочного контроля по альтернативному признаку. Часть 2. Планы выборочного контроля отдельных партий на основе предельного качества LQ
Название английское:
Statistical methods. Sampling procedures for inspection by attributes. Part 2. Sampling plans indexed by limiting quality (LQ) for isolated lot inspection
Даты и сроки
Дата издания:
08-30-22
Дата введения в действие:
03-01-23
Дата завершения срока действия:
-
Применение и описание
Область и условия применения:
Настоящий стандарт устанавливает систему приемочного выборочного контроля по альтернативному признаку на основе предельного качества LQ. Систему выборочного контроля используют для отдельных партий (отдельных последовательностей партий, отдельной партии, уникальной партии или короткой серии партий), когда не применимы правила переключения, такие как правила, установленные в ИСО 2859-1. Уровни контроля, приведенные ИСО 2859-1, в настоящем стандарте не использованы. Во многих промышленных ситуациях, в которых могут быть использованы правила переключения, их не применяют по ряду причин, которые не всегда являются обоснованными: a) производство является прерывистым (не непрерывным); b) производство осуществляется в нескольких различных местах с различным объемом производства продукции, т. е. «отдельными партиями продукции»; c) партии являются отдельными; d) партии повторно представляют после контроля
Связи и замены
Заменяющий:
-
Взамен:
ГОСТ Р 50779.72-99
Описание стандарта
ГОСТ Р ИСО 2859-2-2022 Статистические методы. Процедуры выборочного контроля по альтернативному признаку. Часть 2. Планы выборочного контроля отдельных партий на основе предельного качества LQ
Страницы стандарта











































