ГОСТ 33077-2014 Топливо биодизельное. Определение содержания метиловых эфиров жирных кислот (FAME) спектроскопией в средней инфракрасной области (метод FTIR-ATR-PLS)
ГОСТ
Скачать ГОСТ в PDF или DOC бесплатно
Основная информация
Обозначение:
ГОСТ 33077-2014
Статус:
Действует
Тип:
ГОСТ
Название русское:
Топливо биодизельное. Определение содержания метиловых эфиров жирных кислот (FAME) спектроскопией в средней инфракрасной области (метод FTIR-ATR-PLS)
Название английское:
Biodiesel fuel blends. Determination of fatty acid methyl esters (FAME) content using mid infrared spectroscopy (FTIR-ATR-PLS method)
Даты и сроки
Дата регистрации:
11-14-14
Дата издания:
09-18-19
Дата введения в действие:
07-01-16
Дата завершения срока действия:
-
Применение и описание
Область и условия применения:
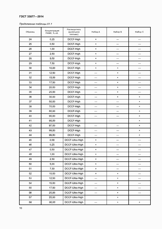
Настоящий стандарт устанавливает метод определения содержания метиловых эфиров жирных кислот (FAME) в смеси базового биодизельного топлива с нефтяным дизельным топливом. Настоящий стандарт применим к содержанию FAME от 1,00 % об. до 20,00 % об. Настоящий метод используют только для определения содержания FAME. Этиловые эфиры жирных кислот (FAЕE) вызывают отрицательное смещение
Связи и замены
Заменяющий:
-
Описание стандарта
ГОСТ 33077-2014 Топливо биодизельное. Определение содержания метиловых эфиров жирных кислот (FAME) спектроскопией в средней инфракрасной области (метод FTIR-ATR-PLS)
Страницы стандарта























Приложение №1: Поправка к ГОСТ 33077-2014 Обозначение: Поправка к ГОСТ 33077-2014 Дата введения в действие: 18.02.2019
