ГОСТ Р 55127-2012 Топливо твердое из бытовых отходов. Основные свойства для составления системы классификации
ГОСТ Р
Скачать ГОСТ в PDF или DOC бесплатно
Основная информация
Обозначение:
ГОСТ Р 55127-2012
Статус:
Действует
Тип:
ГОСТ Р
Название русское:
Топливо твердое из бытовых отходов. Основные свойства для составления системы классификации
Название английское:
Solid recovered fuel. Key properties for establishing a classification system
Даты и сроки
Дата издания:
11-14-14
Дата введения в действие:
07-01-14
Дата завершения срока действия:
-
Применение и описание
Область и условия применения:
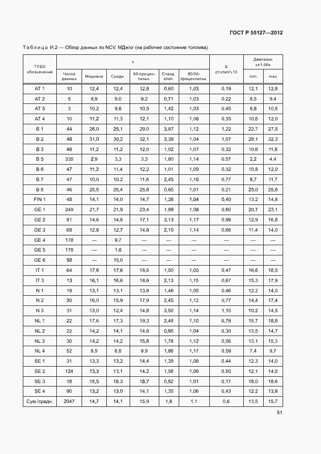
Настоящий стандарт устанавливает общую информацию о ключевых свойствах твердого топлива из бытовых отходов, используемых для составления системы классификации
Связи и замены
Заменяющий:
-
Описание стандарта
ГОСТ Р 55127-2012 Топливо твердое из бытовых отходов. Основные свойства для составления системы классификации
Страницы стандарта





























































