ГОСТ 33563-2015 Биотопливо твердое. Отбор проб
ГОСТ
Скачать ГОСТ в PDF или DOC бесплатно
Основная информация
Обозначение:
ГОСТ 33563-2015
Статус:
Действует
Тип:
ГОСТ
Название русское:
Биотопливо твердое. Отбор проб
Название английское:
Solid biofuels. Sampling
Даты и сроки
Дата регистрации:
10-27-15
Дата издания:
02-21-16
Дата введения в действие:
01-01-17
Дата завершения срока действия:
-
Применение и описание
Область и условия применения:
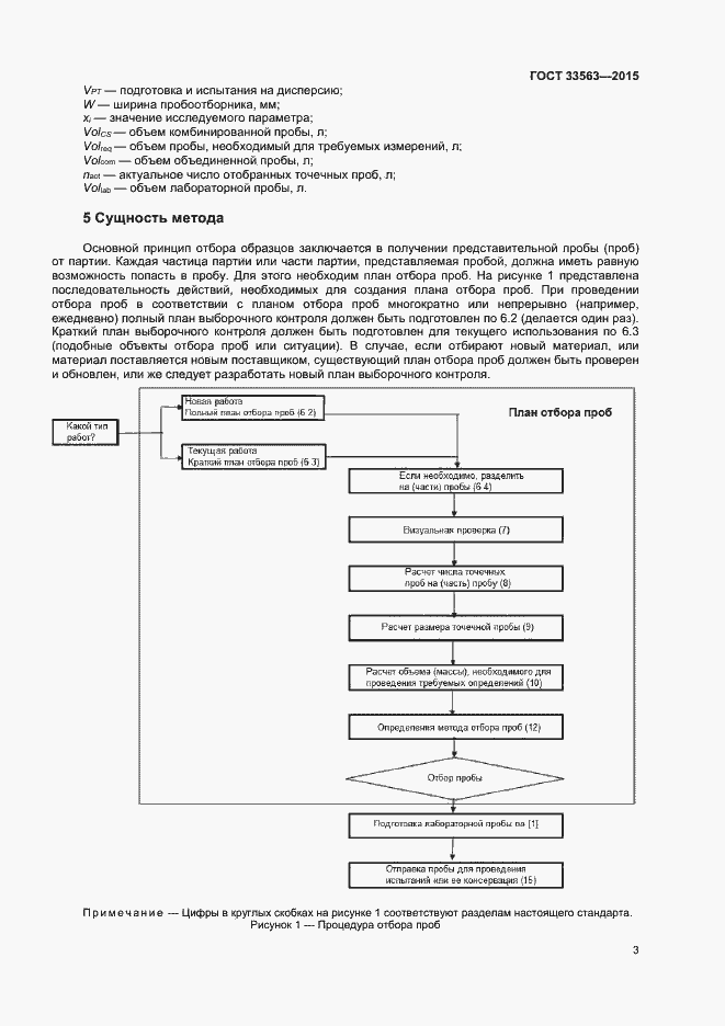
Настоящий стандарт устанавливает методы отбора проб твердого биотоплива из мест произрастания сырья, на предприятиях производителях, из отдельной поставки или со склада. Настоящий стандарт распространяется как на ручные, так и на механические методы отбора проб твердого биотоплива следующих типов: -мелкие (тонкие) и определенной формы частицы материалов размерами частиц около 10 мм, которые могут быть отобраны с помощью лопатки или труб, например: опилки, оливковые косточки и древесные гранулы; -крупные (грубые) или нерегулярной формы частицы материала размерами частиц около 200 мм, которые могут быть отобраны вилами или лопатой, например: древесная щепа и скорлупа орехов, щепа остатков леса и неутромбованная солома; -брикетированные материалы, требующие специальных инструментов для отбора в том случае, если брикеты не должны быть сломаны при открытии для отбора проб, например: кипы соломы или травы; -большие куски (размер частиц более 200 мм, собираемые вручную); -волокнистые и растительные отходы, обезвоженные в ленточном прессе; -круглое дерево
Связи и замены
Заменяющий:
-
Описание стандарта
ГОСТ 33563-2015 Биотопливо твердое. Отбор проб
Страницы стандарта





































