ГОСТ Р 56869-2016 Газы углеводородные сжиженные и смеси пропан-пропиленовые. Определение углеводородов газовой хроматографией
ГОСТ Р
Скачать ГОСТ в PDF или DOC бесплатно
Основная информация
Обозначение:
ГОСТ Р 56869-2016
Статус:
Действует
Тип:
ГОСТ Р
Название русское:
Газы углеводородные сжиженные и смеси пропан-пропиленовые. Определение углеводородов газовой хроматографией
Название английское:
Liquefied petroleum gases and propane-propene mixtures. Determination of hydrocarbons by gas chromatography
Даты и сроки
Дата издания:
10-30-19
Дата введения в действие:
01-01-17
Дата завершения срока действия:
-
Применение и описание
Область и условия применения:
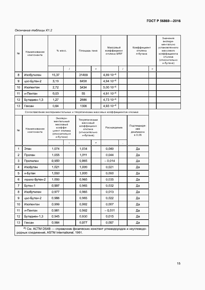
Настоящий стандарт устанавливает количественное определение индивидуальных углеводородов C1-C5 в сжиженных углеводородных газах (LPG) и смесях пропана и пропилена, за исключением пропилена высокой чистоты. Содержание компонентов определяют в диапазоне от 0,01 % об. до 100 % об
Связи и замены
Заменяющий:
-
Описание стандарта
ГОСТ Р 56869-2016 Газы углеводородные сжиженные и смеси пропан-пропиленовые. Определение углеводородов газовой хроматографией
Страницы стандарта


















