ГОСТ Р 54227-2010 Топливо твердое из бытовых отходов. Методы отбора проб
ГОСТ Р
Скачать ГОСТ в PDF или DOC бесплатно
Основная информация
Обозначение:
ГОСТ Р 54227-2010
Статус:
Отменен
Тип:
ГОСТ Р
Название русское:
Топливо твердое из бытовых отходов. Методы отбора проб
Название английское:
Solid recovered fuels. Methods for sampling
Даты и сроки
Дата издания:
11-23-12
Дата введения в действие:
07-01-12
Дата завершения срока действия:
01-01-17
Применение и описание
Область и условия применения:
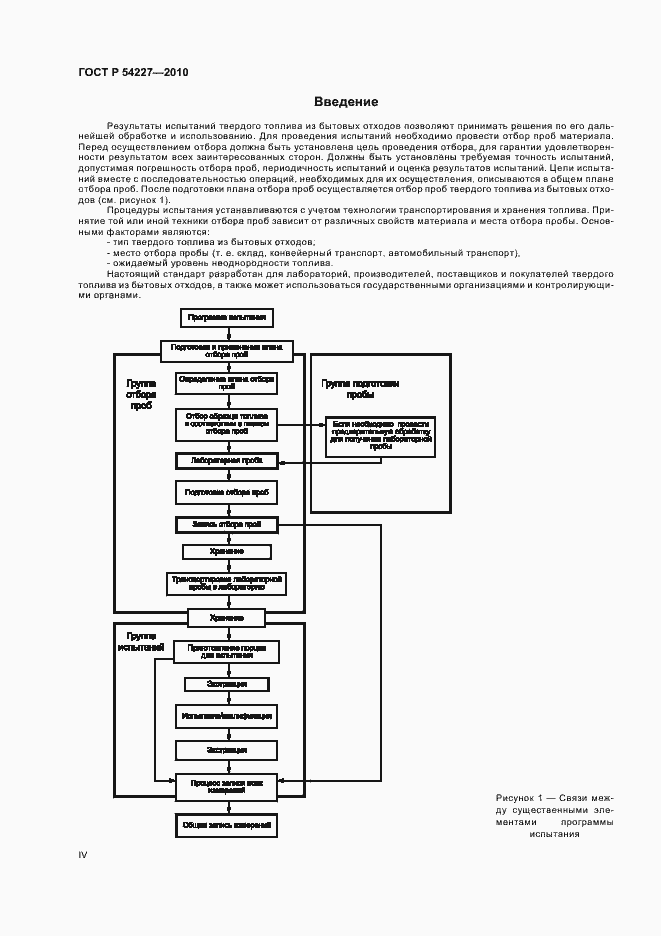
Настоящий стандарт описывает методы отбора проб топлива твердого из бытовых отходов, например, на месте производства, из поставляемых партий или из складируемых запасов. Отбор может осуществляться как ручным способом, так и механическим. В стандарте не рассматривается отбор проб топлива из бытовых отходов, которое существует в виде жидкости или осадка, кроме топлива твердого из бытовых отходов в виде обезвоженного осадка
Связи и замены
Заменяющий:
-
Изменения и переиздания
Список изменений:
№0 от (рег. ) «Текстовое изменение; Изменено заглавие»
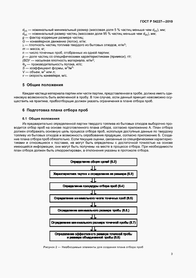
Описание стандарта
ГОСТ Р 54227-2010 Топливо твердое из бытовых отходов. Методы отбора проб
Страницы стандарта































