ГОСТ Р 54239-2010 Топливо твердое минеральное. Выбор методов определения микроэлементов
ГОСТ Р
Скачать ГОСТ в PDF или DOC бесплатно
Основная информация
Обозначение:
ГОСТ Р 54239-2010
Статус:
Заменен
Тип:
ГОСТ Р
Название русское:
Топливо твердое минеральное. Выбор методов определения микроэлементов
Название английское:
Solid mineral fuels. Selection of methods for the determination of trace elements
Даты и сроки
Дата издания:
10-18-11
Дата введения в действие:
07-01-12
Дата завершения срока действия:
04-01-19
Применение и описание
Область и условия применения:
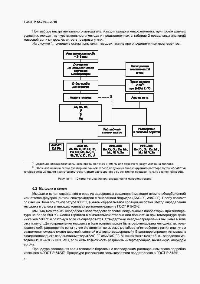
Настоящий стандарт распространяется на каменные и бурые угли, лигниты, антрациты, горючие сланцы, торф, кокс, брикеты, твердые продукты и отходы обогащения и переработки топлив и устанавливает общие представления о выборе методов определения микроэлементов в твердом минеральном топливе. К микроэлементам, важным с точки зрения защиты окружающей среды, относят сурьму, мышьяк, бериллий, бор, кадмий, хлор, хром, кобальт, медь, фтор, свинец, марганец, ртуть, молибден, никель, селен, таллий, ванадий и цинк, а также радиоактивные микроэлементы торий и уран. В настоящием стандарте не приведено описание процедур определения отдельных микроэлементов. Для подтверждения правильности результатов определения микроэлементов проводят анализ подходящих аттестованных стандартных образцов
Связи и замены
Заменяющий:
ГОСТ Р 54239-2018
Описание стандарта
ГОСТ Р 54239-2010 Топливо твердое минеральное. Выбор методов определения микроэлементов
Страницы стандарта















